Для студентов ИГЭУ им. Ленина по предмету Программирование и основы алгоритмизацииПрямые программыПрямые программы
5,00575
2025-03-272025-03-27СтудИзба
Лабораторная работа 1: Прямые программы вариант 23
Описание
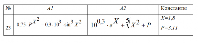
Составить программу вычисления функции У=А1/А2. Выражения для вычисления числителя А1 и знаменателя А2:
![]()

Характеристики лабораторной работы
Учебное заведение
Семестр
Номер задания
Вариант
Программы
Теги
Просмотров
4
Качество
Идеальное компьютерное
Размер
41,52 Kb
Преподаватели
Список файлов
прога лаба1 вариант 23.docx

🎓Помощь студентам Ивановских ВУЗов🎓 ❤️ Каждая приобретенная работа служит стимулом для добавления новых материалов и упрощает учебный процесс.