Для студентов ИГЭУ им. Ленина по предмету Программирование и основы алгоритмизацииПрямые программыПрямые программы
5,00572
2025-03-142025-03-14СтудИзба
Лабораторная работа 1: Прямые программы вариант 3
Описание
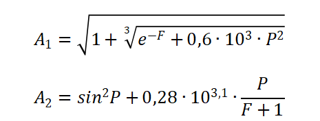
Составить программу вычисления функции У=А1/А2. Выражения для вычисления числителя А1 и знаменателя А2:
Константы:
F = 4,75
P= -3,17

Константы:
F = 4,75
P= -3,17
Характеристики лабораторной работы
Учебное заведение
Семестр
Номер задания
Вариант
Программы
Теги
Просмотров
3
Качество
Идеальное компьютерное
Размер
137,88 Kb
Преподаватели
Список файлов
прога лб1 вариант 3.docx

🎓Помощь студентам Ивановских ВУЗов🎓 ❤️ Каждая приобретенная работа служит стимулом для добавления новых материалов и упрощает учебный процесс.