Для студентов ИГЭУ им. Ленина по предмету Программирование и основы алгоритмизацииСложные циклыСложные циклы
5,00572
2025-03-132025-04-20СтудИзба
Лабораторная работа 6: Сложные циклы вариант 5
Описание
Задание
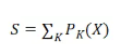
Вычислить сумму членов ряда
для одиннадцати равноотстоящих значений X на интервале [XH , XK]. Общая формула для К-го члена ряда приведена в табл. 6, а величина К принимает следующие значения:
а) К = 0 ,1, 2, 3, ... , N
для вариантов 1,3,5,6,7,9,10,11,13,17,19,20,21,22,25;
б) К = 1, 2, 3, ... , N
для вариантов 2,4,8,12,14,15,16,18,23,24,26,27,28,29,30.
Для контроля правильности нахождения суммы при каждом X предусмотреть одновременное вычисление и вывод значения функции Y=F(X), представляющей точное значение соответствующей суммы ряда при N стремящиеся к бесконечности .
![]()
Вычислить сумму членов ряда

а) К = 0 ,1, 2, 3, ... , N
для вариантов 1,3,5,6,7,9,10,11,13,17,19,20,21,22,25;
б) К = 1, 2, 3, ... , N
для вариантов 2,4,8,12,14,15,16,18,23,24,26,27,28,29,30.
Для контроля правильности нахождения суммы при каждом X предусмотреть одновременное вычисление и вывод значения функции Y=F(X), представляющей точное значение соответствующей суммы ряда при N стремящиеся к бесконечности .

Характеристики лабораторной работы
Учебное заведение
Семестр
Номер задания
Вариант
Программы
Теги
Просмотров
5
Качество
Идеальное компьютерное
Размер
79 Kb
Преподаватели
Список файлов
лаба6 (4).doc

🎓Помощь студентам Ивановских ВУЗов🎓 ❤️ Каждая приобретенная работа служит стимулом для добавления новых материалов и упрощает учебный процесс.