Для студентов МГТУ им. Н.Э.Баумана по предмету Проектирование лазерных и оптико-электронных приборов (ПЛОЭП)МГТУ БауманаМГТУ Баумана
5,0053
2022-12-122022-12-12СтудИзба
ДЗ: МГТУ Баумана
Описание
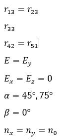
Дано
По заданному типу электрического кристалла, ориентации электрического поля E и параметров настройки (углов 𝛼 и 𝛽) определить пространственное положение (положение новых главных осей (𝑥′,𝑦′,𝑧′)) и конфигурацию (𝑛′𝑥,𝑛′𝑦,𝑛′𝑧) пространственного эллипсоида (индикатрисы).
Определить рациональную ориентацию НОП для получения модуляции по основным параметрам (фазе, состоянию поляризации, интенсивностей).
Графически представить СМХ для фазового модулятора, модулятора по состоянию поляризации, модулятора по интенсивности для обоих выходов, используя в качестве аргумента полуволновое напряжение.
Кристалл 3m (BaTiO3)

Характеристики домашнего задания
Учебное заведение
Просмотров
6
Размер
158,63 Kb
Список файлов
ПЛОЭП Козырев.docx
Комментарии
Нет комментариев
Стань первым, кто что-нибудь напишет!
МГТУ им. Н.Э.Баумана
akitache


















