Для студентов МГТУ им. Н.Э.Баумана по предмету Прикладная теория цифровых автоматовМинимизация конечного автоматаМинимизация конечного автомата
4,97569
2025-03-052025-03-07СтудИзба
ДЗ: Минимизация конечного автомата
Описание
Минимизация конечного автомата
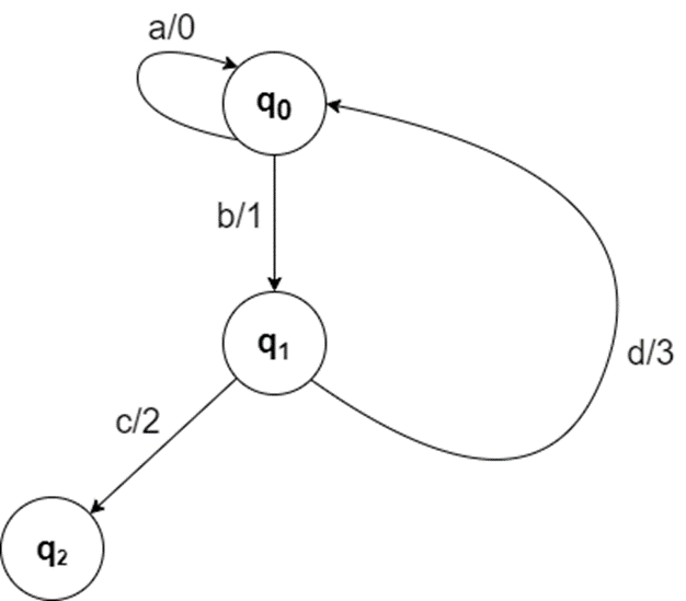
Состояния автомата:
Граф переходов
![]()
Состояния автомата:
- q0 - начальное состояние;
- q1 - составлено разбиение pi k;
- q2 - конечное состояние;
- a - введены некорректные данные;
- b - получены корректные входные данные;
- c - разбиение pi k совпало с pi k-1;
- d - разбиение pi k не совпало с pi k-1;
- 0 - невозможно минимизировать автомат из-за некорректных введенных данных (N > 3);
- 1 - составлено разбиение pi k;
- 2 - процесс минимизации завершен;
- 3 - можно составить следующее разбиение pi k+1.
Граф переходов

Файлы условия, демо
Характеристики домашнего задания
Учебное заведение
Семестр
Просмотров
8
Размер
325,98 Kb
Список файлов
ПТЦА_ДЗ.docx
Комментарии
Нет комментариев
Стань первым, кто что-нибудь напишет!
МГТУ им. Н.Э.Баумана


















