Для студентов МГТУ им. Н.Э.Баумана по предмету Практика расчётов на ПЭВМЛР 1. Запись арифм. выраженийЛР 1. Запись арифм. выражений
4,855262
2022-03-072022-03-07СтудИзба
Лабораторная работа: ЛР 1. Запись арифм. выражений вариант 4
Описание
ОТЧЕТ по лабораторной работе №1
«ЗАПИСЬ АРИФМЕТИЧЕСКИХ ВЫРАЖЕНИЙ»
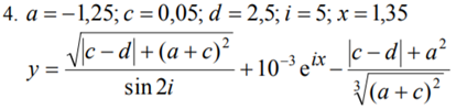
![]()
«ЗАПИСЬ АРИФМЕТИЧЕСКИХ ВЫРАЖЕНИЙ»

Характеристики лабораторной работы
Предмет
Учебное заведение
Семестр
Вариант
Просмотров
1
Качество
Идеальное компьютерное
Размер
82,97 Kb
Список файлов
ЛР1.docx
Комментарии
Нет комментариев
Стань первым, кто что-нибудь напишет!
МГТУ им. Н.Э.Баумана


















