Для студентов МФПУ «Синергия» по предмету Планирование и оценка эффективности расходов бюджетных средствПланирование и оценка эффективности расходов бюджетных средствПланирование и оценка эффективности расходов бюджетных средств
5,00516
2025-11-012025-11-01СтудИзба
Ответы к экзамену: Планирование и оценка эффективности расходов бюджетных средств
Описание
Ответы на тест по предмету Планирование и оценка эффективности расходов бюджетных средств, Синергия.
Список вопросов
Группировка доходов, расходов и источников финансирования дефицитов бюджетов бюджетной системы РФ, используемая для составления и исполнения бюджетов, а также группировка, используемая для ведения бюджетного (бухгалтерского) учета, обеспечивающая сопоставимость показателей бюджетов, – это бюджетная … РФ
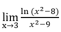
Вычислите предел по правилу Лопиталя ![]()

Доходы бюджетов, которые возникают вследствие превышения мировыми ценами их стандартного уровня и которые чаще всего связаны с повышением цен на природные ископаемые, именуются … доходами
Должностное лицо, которому направлен парламентский запрос, должно дать ответ на него в устной форме на заседании палаты Федерального Собрания РФ или по согласованию с палатой в письменной форме не позднее чем через … со дня получения парламентского запроса или в иной срок, установленный палатой Федерального Собрания РФ
Документ, который составляется и ведется главным распорядителем бюджетных средств (главным администратором источников финансирования дефицита бюджета) в целях исполнения бюджета по расходам (источникам финансирования дефицита бюджета), – это бюджетная …
Деятельность участников стратегического планирования по комплексной оценке хода и итогов реализации документов планирования, а также по оценке взаимодействия участников планирования в части соблюдения принципов и реализации ими полномочий представляет собой … и контроль реализации документов стратегического планирования
Денежные средства считаются поступившими в доходы соответствующего бюджета бюджетной системы РФ …
Действующим законодательством предусмотрена … ответственность за непредставление информации и документов или представление заведомо недостоверных информации и документов в орган, уполномоченный на осуществление контроля в сфере закупок товаров, работ, услуг для обеспечения государственных и муниципальных нужд
Датой окончания контрольного мероприятия является дата принятия Коллегией Счетной палаты решения об утверждении … о результатах проведенного мероприятия
В реестр … поставщиков включается информация об участниках закупок, уклонившихся от заключения контрактов, а также о поставщиках (подрядчиках, исполнителях), не исполнивших или ненадлежащим образом исполнивших обязательства, предусмотренные контрактами
Государственный (муниципальный) социальный заказ формируется на срок …
Государственное (муниципальное) учреждение, осуществляющее оказание услуг, выполнение работ и (или) исполнение функций в целях обеспечения реализации полномочий органов государственной власти или местного самоуправления, финансовое обеспечение которого осуществляется за счет средств соответствующего бюджета, – это … учреждение
Государственная программа РФ представляет собой документ … планирования, содержащий комплекс планируемых мероприятий, взаимоувязанных по задачам, срокам, исполнителям и ресурсам, и инструментов государственной политики, обеспечивающих достижение приоритетов и целей в сфере социально-экономического развития
Год, предшествующий текущему финансовому году, – это … финансовый год
В целях оценки объемов финансовых ресурсов при разработке прогноза социально-экономического развития Российской Федерации и проекта федерального бюджета на очередной финансовый год и плановый период составляется … Российской Федерации
В целях недопущения финансовых нарушений участниками казначейского сопровождения при открытии им казначейских счетов и проведении операций необходимо осуществление бюджетного …, в том числе с использованием информационных ресурсов и информации, полученной в результате взаимодействия органов государственного контроля
В финансовой модели на этапе проектирования и создания объекта соглашения шаг … должен составлять не более квартала, а на этапе эксплуатации и (или) технического обслуживания объекта соглашения – не более одного года, в случае наличия месячной или квартальной сезонности – не более месяца (квартала) соответственно
Характеристики ответов (шпаргалок) к экзамену
Тип
Коллекция: Ответы (шпаргалки) к экзамену
Учебное заведение
Семестр
Просмотров
3
Количество вопросов

❓ Как копировать вопросы во время теста в Синергии?
Комментарии
Нет комментариев
Стань первым, кто что-нибудь напишет!
МФПУ «Синергия» 


















