Ответы к тесту/контрольной КМ-1: Нормативная документация
Новинка
-20%
Описание
🙋♂️🙋♂️🙋♂️ Коллекция ответов Отопление, вентиляция и кондиционирования (КМ-1 Нормативная документация) ВУЗ ПРОМЕТЕЙ
👑👑👑 Огромная база ответов по множеству предметов.
♥️ В том числе есть услуга сдачи отдельных предметов и сессий в целом!!!!!!!!!!!!
♥️ Благодарю за покупку!
♥️ ОБРАЩАйТЕСЬ (Для быстрого поиска вопроса используйте Ctrl+F).
👑👑👑 Огромная база ответов по множеству предметов. ♥️ В том числе есть услуга сдачи отдельных предметов и сессий в целом!!!!!!!!!!!!
♥️ Благодарю за покупку!
♥️ ОБРАЩАйТЕСЬ (Для быстрого поиска вопроса используйте Ctrl+F).
Список вопросов
Наружная расчетная температура зависит от района строительства здания?
Выберите правильное определение термина «вентиляция» в соответствии со СП 60.13330.2020 «Отопление, вентиляция и кондиционирование воздуха. Актуализированная редакция СНиП 41-01-2003».
Варианты ответов:
Варианты ответов:
Чему равен коэффициент теплоотдачи внутренней поверхности (стен, полов, гладких потолков) ограждающей конструкции?
Среди перечисленных параметров отметьте параметр, который не характеризует микроклимат в жилых и общественных зданиях в соответствии с ГОСТ 30494-2011.
Определите среднюю температуру за отопительный период в г. Москве в соответствии с СП 13113330.2020
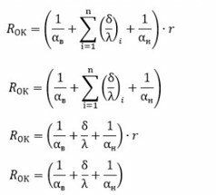
Приведенное сопротивление теплопередаче многослойной ОК ROK, записывается в виде:
![]()

Выберите правильное определение термина «кондиционирование» в соответствии со СП 60.13330.2020 «Отопление, вентиляция и кондиционирование воздуха. Актуализированная редакция СНиП 41-01-2003».
Варианты ответов:
Варианты ответов:
Период года, характеризующийся среднесуточной температурой наружного воздуха, равной 8 и ниже:
В холодный период года внутреннюю расчетную температуру выбирают по ГОСТ 30494:
Какая система изображена на картинке, из каких аппаратов она состоит?
![]()

Какая система изображена на картинке, из каких аппаратов она состоит? ![]()

Выберите правильное определение термина «отопление» в соответствии со СП 60.13330.2020 «Отопление, вентиляция и кондиционирование воздуха. Актуализированная редакция СНиП 41-01-2003».
В соответствии с ГОСТ 30494-2011 «Здания жилые и общественные. Параметры микроклимата в помещениях» дайте определение понятию «допустимые параметры микроклимата»
Чему равен коэффициент теплоотдачи наружной поверхности (стены, покрытия) ограждающей конструкции?
Какие расчетные параметры наружного воздуха используются при проектировании системы отопления?
Внутренняя расчетная температура согласно ГОСТ 30494 зависит от назначения помещения?
При каких условиях наступает отопительный период в соответствии с требованиями Правил технической эксплуатации тепловых энергоустановок?
Определите расчетную температуру наружного воздуха для проектирования системы отопления для г. Москвы.
Какие расчетные параметры наружного воздуха используются при проектировании системы вентиляции для теплого периода года?
Какие расчетные параметры наружного воздуха используются при проектировании системы вентиляции для холодного периода?
Характеристики ответов (шпаргалок) к КР
Тип
Коллекция: Ответы к тесту/контрольной
Учебное заведение
Номер задания
Просмотров
0
Количество вопросов
Комментарии
Нет комментариев
Стань первым, кто что-нибудь напишет!
ИДДО НИУ «МЭИ»
akop














