Для студентов МГТУ им. Н.Э.Баумана по предмету Основы теплотехникиГазовые смеси и теплоёмкостиГазовые смеси и теплоёмкости
4,945523
2022-11-282022-11-28СтудИзба
ДЗ 1: Газовые смеси и теплоёмкости вариант 7
Описание
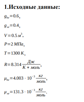
Газовые смеси и теплоёмкости
![]()

Характеристики домашнего задания
Предмет
Учебное заведение
Семестр
Номер задания
Вариант
Просмотров
15
Качество
Идеальное компьютерное
Размер
198,79 Kb
Список файлов
Teplotekh_DZ1_Var7.docx
Teplotekh_DZ1_Var7.pdf

Понравился файл? Поставь оценку и напиши отзыв, спасибо!