Для студентов ИДДО НИУ «МЭИ» по предмету Основы теории вычислительных системМногоуровневая компьютерная организация. Развитие компьютерной архитектуры. Семейства компьютеров. Вычислительная инфраструктура СГАУ. Расчетное заданМногоуровневая компьютерная организация. Развитие компьютерной архитектуры. Семейства компьютеров. Вычислительная инфраструктура СГАУ. Расчетное задан
4,955183
2025-06-022025-06-02СтудИзба
Многоуровневая компьютерная организация. Развитие компьютерной архитектуры. Семейства компьютеров. Вычислительная инфраструктура СГАУ. Расчетное задание
Многоуровневая компьютерная организация. Развитие компьютерной архитектуры. Семейства компьютеров. Вычислительная инфраструктура СГАУ. Расчетное задание
Описание
Курс Основы теории вычислительных систем 1/1 - КМ-3. Многоуровневая компьютерная организация. Развитие компьютерной архитектуры. Семейства компьютеров. Вычислительная инфраструктура СГАУ. Расчетное задание. Сдано на оценку 4. Вариант 8
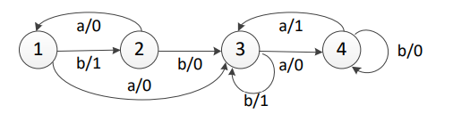
1. Задан автомат Мили в виде графа. Построить совмещенную таблицу переходов/выходов. Найти эквивалентный ему автомат Мура, построить граф и отмеченную таблицу переходов.
2. Записать событие, состоящее из всех слов алфавита x={a,b,c}, которое начинается буквами c и a, а заканчиваются отрезком b и a. Представить выражение в виде графа.
3. Представить в виде графа регулярное выражение (𝑎 ∨ 𝑐 ∨ 𝑏)∗ ∙ (𝑎 ∨ 𝑐) ∗ ∨ (𝑑 ∨ 𝑐) ∗ ∨ 𝑏 4. Составить регулярные выражения для автомата А, сравнивающего две строки в алфавите {c,d}. Количество символов в строках произвольно. Окончание строк фиксируется буквой «a» . Сравниваемые строки имеют одинаковое количество символов. Если строки равны, то А выдает сигнал y1, Если строки не равны, то А выдает сигнал y2
5. Построить автомат по продаже билетов стоимостью 3 руб. Автомат может принимать монеты 1,2 руб. Сдачу автомат не выдает. При вводе неверной сумы – сброс денег. Использовать синтез по регулярным выражениям.
6. Провести структурный синтез по графу автомата.
Показать/скрыть дополнительное описание
1. Задан автомат Мили в виде графа. Построить совмещенную таблицу переходов/выходов. Найти эквивалентный ему автомат Мура, построить граф и отмеченную таблицу переходов.
2. Записать событие, состоящее из всех слов алфавита x={a,b,c}, которое начинается буквами c и a, а заканчиваются отрезком b и a. Представить выражение в виде графа. 3. Представить в виде графа регулярное выражение (𝑎 ∨ 𝑐 ∨ 𝑏)∗ ∙ (𝑎 ∨ 𝑐) ∗ ∨ (𝑑 ∨ 𝑐) ∗ ∨ 𝑏 4. Составить регулярные выражения для автомата А, сравнивающего две строки в алфавите {c,d}. Количество символов в строках произвольно. Окончание строк фиксируется буквой «a» . Сравниваемые строки имеют одинаковое количество символов. Если строки равны, то А выдает сигнал y1, Если строки не равны, то А выдает сигнал y2
5. Построить автомат по продаже билетов стоимостью 3 руб. Автомат может принимать монеты 1,2 руб. Сдачу автомат не выдает. При вводе неверной сумы – сброс денег. Использовать синтез по регулярным выражениям.
6. Провести структурный синтез по графу автомата.
Показать/скрыть дополнительное описаниеМногоуровневая компьютерная организация. Развитие компьютерной архитектуры. Семейства компьютеров. Вычислительная инфраструктура СГАУ. Расчетное задание .
Характеристики домашнего задания
Учебное заведение
Номер задания
Вариант
Программы
Просмотров
3
Качество
Идеальное компьютерное
Размер
99,61 Kb
Список файлов
Многоуровневая компьютерная организация.docx
Алёна Руденко
Комментарии
Нет комментариев
Стань первым, кто что-нибудь напишет!
ИДДО НИУ «МЭИ»
alena.rudenko.88


















