Для студентов НГТУ по предмету Основы теории случайных процессов (ОТСП)Пример ДЗПример ДЗ
2022-08-312022-08-31СтудИзба
ДЗ: Пример ДЗ
Описание
Домашнее задание.
дисперсия сигнала (В2);
интервал корреляции сигнала (с);
спектральная плотность шума (В2·с)
Нормированная дисперсия ошибок фильтрации при использовании фильтра Винера
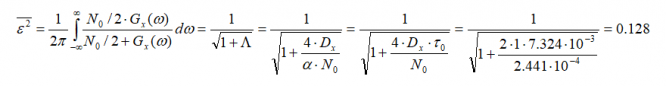
Нормированная дисперсия ошибок фильтрации при использовании каузального фильтра Винера (КФВ)
Нормированная дисперсия ошибок фильтрации при использовании квазиоптимального фильтра (ФНЧ с прямоугольной АЧХ)
Зависимости нормированных дисперсий ошибок фильтрации ФВ и КФВ от:
а) спектральной плотности шума при заданных в п. 1 значения и :
б) интервала корреляции сигнала при заданных в п.1 значениях и :
Диапазон изменения параметров в п. 2.а и в п. 2.б должен составлять относительно значений, заданных в п.1.
Объем выборки (количество независимых реализаций), при котором относительная ошибка измерения в эксперименте величины не превысит 1 %. При этом приближенно интервал корреляции текущей ошибки фильтрации равно удвоенному интервалу корреляции процесса , а отсчеты, отстоящие на интервал корреляции - независимы.
дисперсия сигнала (В2);




Нормированная дисперсия ошибок фильтрации при использовании каузального фильтра Винера (КФВ)

Нормированная дисперсия ошибок фильтрации при использовании квазиоптимального фильтра (ФНЧ с прямоугольной АЧХ)
Зависимости нормированных дисперсий ошибок фильтрации ФВ и КФВ от:
а) спектральной плотности шума при заданных в п. 1 значения и :
б) интервала корреляции сигнала при заданных в п.1 значениях и :
Диапазон изменения параметров в п. 2.а и в п. 2.б должен составлять относительно значений, заданных в п.1.
Объем выборки (количество независимых реализаций), при котором относительная ошибка измерения в эксперименте величины не превысит 1 %. При этом приближенно интервал корреляции текущей ошибки фильтрации равно удвоенному интервалу корреляции процесса , а отсчеты, отстоящие на интервал корреляции - независимы.
Характеристики домашнего задания
Учебное заведение
Семестр
Просмотров
2
Качество
Идеальное компьютерное
Размер
64,74 Kb
Список файлов

Вам все понравилось? Получите кэшбэк - 40 рублей на Ваш счёт при покупке. Поставьте оценку и напишите положительный комментарий к купленному файлу. После Вы получите деньги на ваш счет.