Для студентов НГТУ по предмету Основы теории цепей (ОТЦ)РГЗ №2 - Анализ линейной электрической цепи при гармоническом воздействии - Вариант 23РГЗ №2 - Анализ линейной электрической цепи при гармоническом воздействии - Вариант 23
2021-08-242021-08-24СтудИзба
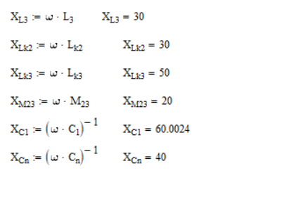
Курсовая работа: РГЗ №2 - Анализ линейной электрической цепи при гармоническом воздействии - Вариант 23 вариант 23
Описание
Характеристики курсовой работы
Предмет
Учебное заведение
Семестр
Вариант
Просмотров
2
Качество
Идеальное компьютерное
Размер
121,33 Kb
Список файлов
РГЗ №2 - Анализ линейной электрической цепи при гармоническом воздействии - Вариант 23
РГЗ №2 - Анализ линейной электрической цепи при гармоническом воздействии - Вариант 23.xmcd

Вам все понравилось? Получите кэшбэк - 40 рублей на Ваш счёт при покупке. Поставьте оценку и напишите положительный комментарий к купленному файлу. После Вы получите деньги на ваш счет.