Для студентов МГТУ им. Н.Э.Баумана по предмету Методы оптимизацииТиповой расчёт №1, 2, 3Типовой расчёт №1, 2, 3
4,9957759
2024-10-212024-10-21СтудИзба
ДЗ 1, 2, 3: Типовой расчёт №1, 2, 3 вариант 9
Описание
👉ДЗ включает в 3 ЧАСТИ и ЗАЧТЕНО у Аттетков А.В.!
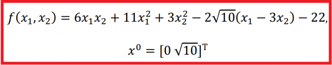
УСЛОВИЕ
- Метод наискорейшего спуска
- Метод сопряженных направлений
- ДФП (Давидона-Флетчера-Пауэлла)
- Циклический покоординатный спуск
- Метод Хука-Дживса
- Регулярный симплекс
ДЕМО ![]()
Характеристики домашнего задания
Предмет
Учебное заведение
Вариант
Программы
Просмотров
19
Качество
Идеальное компьютерное
Размер
477,06 Kb
Преподаватели
Список файлов
Методы оптимизации ДЗ _ VAR 9.pdf

Если работа Вам была полезна, Пожалуйста, потратьте несколько секунд, чтобы оставить нам 5 ЗВЁЗД и положительный отзывы. Мы Вам глубоко признателены!