КМ-3. Решение задач линейного программирования. Решение задач графическим методом. Нахождение опорных планов. Контрольная работа
Описание
Документ с ответами содержит материала на 22 страницы и исходники из excel.
Задание
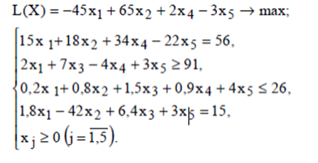
Задание №1. Одноиндексная задача линейного программирования
- Найти решения для математической модели линейного программирования:
2) Решить задачу, если к условию задачи добавилось требование целочисленности значений всех переменных.
Задание №2. Транспортная задача
Имеются три пункта поставки однородного груза А1, А2, А3 и пять пунктов В1, В2, В3, В4, В5 потребления этого груза. На пунктах А1, А2 и А3 находится груз соответственно в количестве а1, а2 и а3 тонн. В пункты В1, В2, В3, В4, В5 требуется доставить соответственно b1, b2, b3, b4 и b5 тонн груза. Стоимость перевозки единицы груза от пункта поставки до пункта потребления приведена в следующей матрице – таблице:
Найти план закрепления потребителей за поставщиками однородного груза, чтобы общие затраты по перевозкам были минимальными. Составить математическую модель задачи и решить ее, используя «Поиск решения» таблиц EXCEL
Файлы условия, демо
Характеристики домашнего задания
Список файлов
