Для студентов МГТУ им. Н.Э.Баумана по предмету Методы оптимизацииТР "Методы оптимизации" РК4 Вар 14ТР "Методы оптимизации" РК4 Вар 14
5,0051
2020-12-062020-12-06СтудИзба
ДЗ: ТР "Методы оптимизации" РК4 Вар 14
Описание
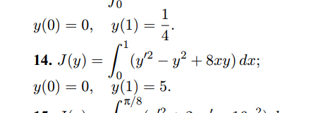
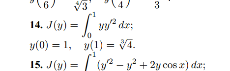
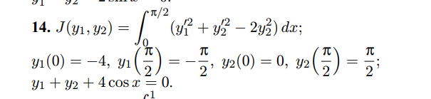
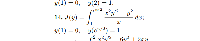
Полностью решенный ТР по Методам Оптимизации (Вариационное исчисление).Подробное и логическое решение понятное как преподу, так и студенты.Почерк понятный, все оформлено аккуратно. Выше представлены условия ТР из методы. Характеристики домашнего задания
Предмет
Учебное заведение
Семестр
Просмотров
74
Размер
3,39 Mb
Список файлов
Комментарии
Нет комментариев
Стань первым, кто что-нибудь напишет!
МГТУ им. Н.Э.Баумана
Pomidor22

















