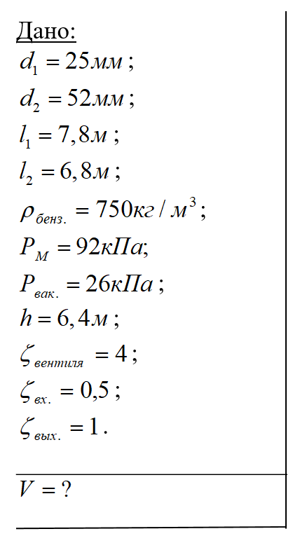
Для студентов по предмету Механика жидкости и газа (МЖГ или Гидравлика)По трубопроводу, состоящему из двух участков труб (см. Рис.) диаметрами и и длиной и подаётся бензин ( ) из бака с избыточным давлением в расположенныПо трубопроводу, состоящему из двух участков труб (см. Рис.) диаметрами и и длиной и подаётся бензин ( ) из бака с избыточным давлением в расположенны
4,9957669
2024-10-032024-10-03СтудИзба
По трубопроводу, состоящему из двух участков труб (см. Рис.) диаметрами и и длиной и подаётся бензин ( ) из бака с избыточным давлением в расположенный выше бак, где поддерживается вакуумметрическое давление . Разность уровней в баках .
Описание
УСЛОВИЕ

ДЕМО ![]()
Показать/скрыть дополнительное описаниеПо трубопроводу, состоящему из двух участков труб (см. Рис.) диаметрами и и длиной и подаётся бензин ( ) из бака с избыточным давлением в расположенный выше бак, где поддерживается вакуумметрическое давление . Разность уровней в баках . Коэффициент сопротивления трения для труб , коэффициенты местных сопротивлений ; ; . Требуется определить расход бензина ..
Характеристики решённой задачи
Номер задания
Программы
Просмотров
8
Качество
Идеальное компьютерное
Размер
107,48 Kb
Список файлов
Задача 11.docx

Если работа Вам была полезна, Пожалуйста, потратьте несколько секунд, чтобы оставить нам 5 ЗВЁЗД и положительный отзывы. Мы Вам глубоко признателены!