Для студентов ПГУАиС по предмету Механика жидкости и газа (МЖГ или Гидравлика)РАСЧЕТ СБРОСНОГО ТРУБОПРОВОДА ИЗ БАКА С ПОСТОЯННЫМ УРОВНЕМ ВОДЫ.РАСЧЕТ СБРОСНОГО ТРУБОПРОВОДА ИЗ БАКА С ПОСТОЯННЫМ УРОВНЕМ ВОДЫ.
5,00517978
2024-07-162024-07-16СтудИзба
Задача: РАСЧЕТ СБРОСНОГО ТРУБОПРОВОДА ИЗ БАКА С ПОСТОЯННЫМ УРОВНЕМ ВОДЫ.
Описание
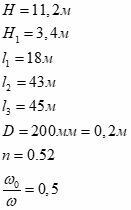
Из бака при постоянном напоре Н по прямому горизонтальному трубопроводу состоящему из трех участков различной длины, но одного диаметра вытекает вода в атмосферу. На расстоянии l1 от начала трубопровода установлена задвижка степенью закрытия n=0,52. На расстоянии l2 от задвижки устанавливается диафрагма ω0/ω=0,5. Определить расход воды в трубопроводе и построить пьезометрическую и напорную линии, если: заданы диаметры и длины участков труб; напор Н+Н1=11,2+3,4=14,6 м; трубы чугунные новые с покрытием. Плотность воды ρ=1000 кг/м3, кинематический коэффициент вязкости ν=10-6 м2/с.
В масштабе построить линии полного и пьезометрического напора.
Дано:

Файлы условия, демо
Характеристики решённой задачи
Учебное заведение
Программы
Просмотров
1
Качество
Идеальное компьютерное
Размер
48,88 Kb
Список файлов
РГР.docx
