Для студентов по предмету Механика жидкости и газа (МЖГ или Гидравлика)Задача 8-22Задача 8-22
5,0052
2023-02-092023-02-09СтудИзба
Задача 8: Задача 8-22 вариант 22
-51%
Описание
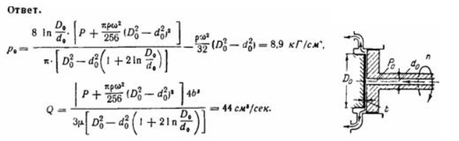
Задача (Куколевский И.И.) 8-22. Гидравлическая пята, число оборотов которой равно n = 600 об/мин, воспринимает нагрузку, равную P = 400 Н. Определить: 1) Давление, P0, которое необходимо создать в центральном канале диаметром d=12 мм, если наружный диаметр пяты D0 = 45 мм. 2) Чему равен расход жидкости через торцовый зазор пягы, если величина зазора b = 0,2 мм, вязкость масла равна м=0,64 П и его удельный вес у = 900 кГ/м3. Указание. При определении давления, вызванного полем центробежных сил, принять угловую скорость вращения жидкости равной половине угловой скорости вращения диска пяты.

Характеристики решённой задачи
Номер задания
Вариант
Программы
Теги
Просмотров
12
Качество
Идеальное компьютерное
Размер
342,41 Kb
Список файлов
Задача 8-22.pdf

Вам все понравилось? Получите кэшбэк - 40 рублей на Ваш счёт при покупке. Поставьте оценку и напишите положительный комментарий к купленному файлу. После Вы получите деньги на ваш счет.