Для студентов по предмету Механика жидкости и газа (МЖГ или Гидравлика)Задача 9-22Задача 9-22
5,00512
2023-01-082024-07-12СтудИзба
Задача 9: Задача 9-22 вариант 22
Описание
Задача 9. 22 (Куколевский И.И.)
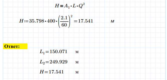
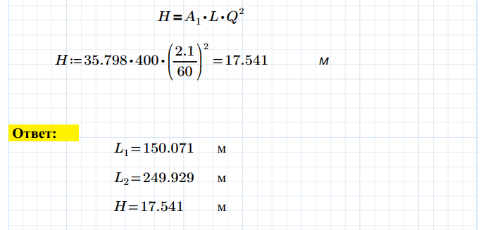
Для подачи воды в количестве Q = 2,1 м3/мин на расстояние L = 400 м под напором H = 9 м можно использовать наличные чугунные трубы диаметром d1= 150 мм и d2 = 200 мм.Определить необходимые длины участков трубопровода, принимая шероховатость труб = 1,2мм.
Какой напор потребуется при заданном Q, если выполнить весь трубопровод диаметром d1= 150 мм?
Ответ. L1= 150м, и L2= 250м; H= 17,5м.

ДЕМО


Показать/скрыть дополнительное описание
Для подачи воды в количестве Q = 2,1 м3/мин на расстояние L = 400 м под напором H = 9 м можно использовать наличные чугунные трубы диаметром d1= 150 мм и d2 = 200 мм..
Характеристики решённой задачи
Номер задания
Вариант
Программы
Теги
Просмотров
90
Качество
Идеальное компьютерное
Размер
3,76 Mb
Список файлов
9.22.pdf

Если работа Вам была полезна, Пожалуйста, потратьте несколько секунд, чтобы оставить нам 5 ЗВЁЗД и положительный отзывы. Мы Вам глубоко признателены!