Для студентов по предмету Механика жидкости и газа (МЖГ или Гидравлика)Задача 1-32Задача 1-32
4,9957353
2022-12-042022-12-04СтудИзба
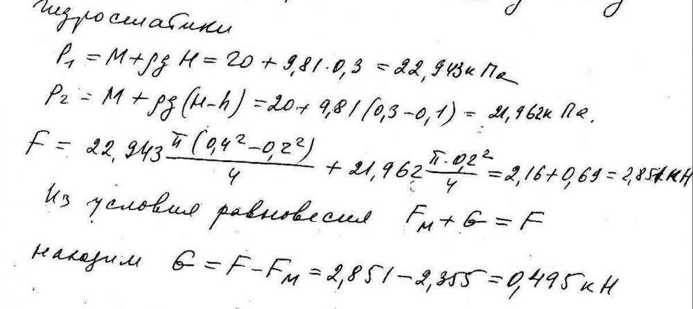
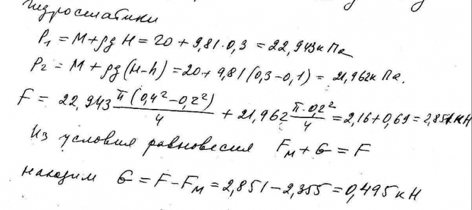
Задача 1: Задача 1-32 вариант 32
Описание
Характеристики решённой задачи
Номер задания
Вариант
Теги
Просмотров
12
Качество
Фото рукописных листов
Размер
133,14 Kb
Список файлов
1-32.jpg

Если работа Вам была полезна, Пожалуйста, потратьте несколько секунд, чтобы оставить нам 5 ЗВЁЗД и положительный отзывы. Мы Вам глубоко признателены!