Для студентов МГТУ им. Н.Э.Баумана по предмету Механика жидкости и газа (МЖГ или Гидравлика)Домашнее задание №2 по курсу «механика жидкости и газа» 2-я часть Вариант №2Домашнее задание №2 по курсу «механика жидкости и газа» 2-я часть Вариант №2
4,41517
2025-05-132025-05-13СтудИзба
ДЗ: Домашнее задание №2 по курсу «механика жидкости и газа» 2-я часть Вариант №2
Описание
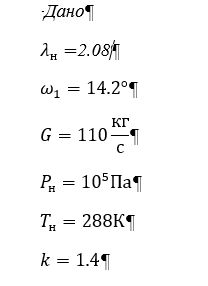
Найти оптимальный угол наклона второй панели торможения воздухозаборника сверхзвукового самолёта, обеспечивающий минимальные потери полного давления в системе, состоящей из двух косых и одного прямого скачка, суммарную степень сохранения полного давления и приведённую скорость за замыкающим прямым скачком уплотнения.
Определить размеры воздухозаборника если известно, что входное сечение двигателя имеет форму квадрата .
Статическое давление окружающего воздуха , температура . Угол наклона первой панели торможения, приведённая скорость набегающего потока воздуха и расход воздуха G.

Характеристики домашнего задания
Учебное заведение
Семестр
Просмотров
5
Размер
812,01 Kb
Список файлов
МЖГ ДЗ2.docx
Комментарии
Нет комментариев
Стань первым, кто что-нибудь напишет!
МГТУ им. Н.Э.Баумана


















