Для студентов МГТУ им. Н.Э.Баумана по предмету Механика жидкости и газа (МЖГ или Гидравлика)ДЗ №1 - Расчёт сопла Лаваля (MathCAD 15)ДЗ №1 - Расчёт сопла Лаваля (MathCAD 15)
4,9957399
2022-08-182022-08-18СтудИзба
ДЗ 1: ДЗ №1 - Расчёт сопла Лаваля (MathCAD 15)
Описание
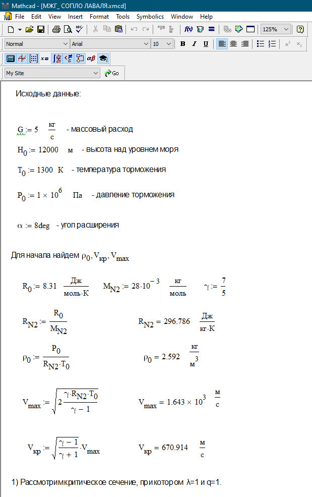
Исходные данные
Расход | G=5 кг/с |
Рабочее тело | N2 (Азот) |
Темперетура торможения | Т*=1300 K |
Давление торможения | Р*=1 МПа |
Высота | Н0=12000 м |
Угол расширения | а=8 deg |
Вот это решение 1-го ТИПОВОГО ДЗ (Расчёт сопла Лаваля) - заменить исходные данные и получить результат!

Характеристики домашнего задания
Учебное заведение
Номер задания
Программы
Просмотров
83
Качество
Идеальное компьютерное
Размер
594,72 Kb
Список файлов
МЖГ_ СОПЛО ЛАВАЛЯ.xmcd

Если работа Вам была полезна, Пожалуйста, потратьте несколько секунд, чтобы оставить нам 5 ЗВЁЗД и положительный отзывы. Мы Вам глубоко признателены!