Для студентов АмГУ по предмету МатематикаЗадача КошиЗадача Коши
5,0053090
2023-12-272023-12-27СтудИзба
Задача 388: Задача Коши
Описание
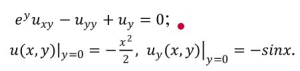
Найти решение уравнения, удовлетворяющего начальным условиям:
![]()

Характеристики решённой задачи
Предмет
Учебное заведение
Номер задания
Просмотров
1
Размер
220,64 Kb
Список файлов
Задача 388.pdf

Все деньги, вырученные с продажи, идут исключительно на шаурму