Для студентов по предмету МатематикаКудрявцев Задачник Т2 Гл 4 §15 Задача 12-3Кудрявцев Задачник Т2 Гл 4 §15 Задача 12-3
2021-08-212021-08-21СтудИзба
Задача: Кудрявцев Задачник Т2 Гл 4 §15 Задача 12-3
Описание
Кудрявцев Л. Д., Кутасов А. Д., Чехлов В. И., Шабунин М. И.
Сборник задач по математическому анализу. Том 2. Интегралы.
Ряды: Учеб. пособие/ Под ред. Л.Д. Кудрявцева. — 2-е изд., перераб. —
М.: ФИЗМАТЛИТ, 2003. — 504 с. — ISBN 5-9221-0307-5.
Гл.4- Числовые ряды. §15. Абсолютно и не абсолютно сходящиеся ряды
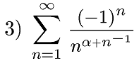
Задача 12-3).
Найти все значения а, при которых ряд: а) абсолютно сходится; б) условно сходится.
![]()
Сборник задач по математическому анализу. Том 2. Интегралы.
Ряды: Учеб. пособие/ Под ред. Л.Д. Кудрявцева. — 2-е изд., перераб. —
М.: ФИЗМАТЛИТ, 2003. — 504 с. — ISBN 5-9221-0307-5.
Гл.4- Числовые ряды. §15. Абсолютно и не абсолютно сходящиеся ряды
Задача 12-3).
Найти все значения а, при которых ряд: а) абсолютно сходится; б) условно сходится.

Характеристики решённой задачи
Предмет
Просмотров
2
Размер
322,39 Kb
Список файлов
kudriavcev-v2-ch4-@15-problem-12-3.png
Комментарии
Нет комментариев
Стань первым, кто что-нибудь напишет!

























