Для студентов по предмету МатематикаКудрявцев Задачник Т2 Гл 4 §13 Задача 14-1Кудрявцев Задачник Т2 Гл 4 §13 Задача 14-1
2021-08-202021-08-20СтудИзба
Задача: Кудрявцев Задачник Т2 Гл 4 §13 Задача 14-1
Описание
Кудрявцев Л. Д., Кутасов А. Д., Чехлов В. И., Шабунин М. И.
Сборник задач по математическому анализу. Том 2. Интегралы.
Ряды: Учеб. пособие/ Под ред. Л.Д. Кудрявцева. — 2-е изд., перераб. —
М.: ФИЗМАТЛИТ, 2003. — 504 с. — ISBN 5-9221-0307-5.
Гл.4- Числовые ряды. §13. Свойства сходящихся рядов.
Задача 14-1).
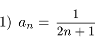
4. Пользуясь критерием Коши, доказать расходимость ряда
если:
![]()
Сборник задач по математическому анализу. Том 2. Интегралы.
Ряды: Учеб. пособие/ Под ред. Л.Д. Кудрявцева. — 2-е изд., перераб. —
М.: ФИЗМАТЛИТ, 2003. — 504 с. — ISBN 5-9221-0307-5.
Гл.4- Числовые ряды. §13. Свойства сходящихся рядов.
Задача 14-1).
4. Пользуясь критерием Коши, доказать расходимость ряда
если:

Характеристики решённой задачи
Предмет
Просмотров
3
Размер
205,87 Kb
Список файлов
kudriavcev-v2-ch4-@13-problem-14-1.png
Комментарии
Нет комментариев
Стань первым, кто что-нибудь напишет!























