Математика и информатика. Синергия
Описание
Тема 1. Основы линейной алгебры
Тема 2. Теория определителей
Тема 3. Системы линейных алгебраических уравнений (СЛАУ)
Тема 4. Введение в математический анализ
Тема 5. Дифференциальное исчисление функции одной переменной
Итоговая аттестацияПоказать/скрыть дополнительное описание
График функции y=f(x) дифференцируемой на интервале является на этом интервале (a;b) если график этой функции в пределах интервала лежит не выше любой своей касательной График функции y=f(x) дифференцируемой на интервале является на этом интервале (a;b) если график этой функции в пределах интервала лежит не ниже любой своей касательной Действительные числа, которые можно представить в виде отношения двух целых чисел называются Тип ответа: Одиночный выбор • с выбором одного правильного ответа из нескольких предложенных вариантов рациональные числа иррациональные числа действительные числа Действительные числа, которые нельзя представить в виде отношения двух целых чисел называются …………………..
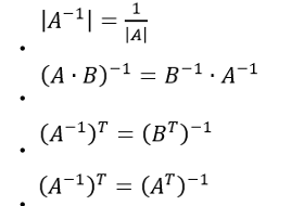
Для любой матрицы A существует ………… матрица -A такая, что A+(-A)=0. Если две группы совокупностей образуют третью, состоящую только из общих элементов заданных составляющих, это называется ………..множеств, обозначается значком ∩: C=A∩B Если две совокупности образуют третью, включающую элементы одной из заданных групп и не содержащую элементы второй, получается ………….. совокупностей, обозначается значком /: C=A/B Если линейная комбинация строк равна нулю тогда и только тогда, когда все коэффициенты равна нулю, т.е. строки е1, е2… называются Если функция f(x) определена в некоторой окрестности точки х0 и имеет в точке х0 производные всех порядков, то степенной ряд: Если элемент x принадлежит множеству X, то записывают: Тип ответа: Одиночный выбор • с выбором одного правильного ответа из нескольких предложенных вариантов x ∈ Х x / X x ∪ X Исследовать систему на совместимость система не совместна система совместна для решения не хватает данных Какое из свойств не является свойством обратной матрицы: Матрица А-1 называется…по отношению к матрице А, если при умножении этой матрицы на данную как справа, так и слева получается единичная.
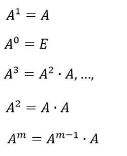
Матрица Ф = (Ф1, Ф2…Фn-r), столбцы которой образуют систему решений однородной системы, называется Матрица A порядка m×n называется …………….матрицей, если количество строк и столбцов совпадают: m=n. Матрица-столбец B = (b1,b2,bm), называется матрицей ….., а матрица столбец X = (x1,x2,xn) – матрицей неизвестных. Матрица, удовлетворяющая условию A=AT называется ……….. матрицей. Определите матрицу X, если известно, что: Определите правильный порядок решения системы линейных уравнений по формуле Крамера: Тип ответа: Сортировка 1 2 3 4 5 6 Определитель равен (-17) (-5) 23 17 Определить ранг матрицы A = 5 3 2 4 По определению, функция f(x) называется непрерывной в точке x0, если существует предел: Тип ответа: Одиночный выбор • с выбором одного правильного ответа из нескольких предложенных вариантов Порядком дифференциального уравнения является: наивысший порядок входящих в это уравнение производных низший порядок входящих в это уравнение производных средний порядок входящих в это уравнение производных Порядок входящих в уравнение производных: ограничен может быть различен зависит от условия задачи Предел отношения двух бесконечно малых функций равен пределу отношения их производных, если последний существует- это правило ………… При перестановке дух любых строк определитель матрицы Тип ответа: Одиночный выбор • с выбором одного правильного ответа из нескольких предложенных вариантов не изменится станет отрицательным увеличится меняет свой знак При умножении матрицы А = (1,3,3,4,2,5,0,6,1) на число к=3 получим: Тип ответа: Одиночный выбор • с выбором одного правильного ответа из нескольких предложенных вариантов Расположите в правильной последовательности действия при возведении матрицы в целую неотрицательную степень: Тип ответа: Сортировка 1 2 3 4 5 Расположите в правильной последовательности действия при умножении двух матриц: Тип ответа: Сортировка 1 записать матрицу А 2 записать матрицу В 3 проверить, чтобы количество столбцов в первой матрице, было равно количеству строк второй 4 записать результирующую матрицу С в общем виде 5 провести расчет элементов матрицы С 6 записать результирующую матрицу С Решите систему линейных уравнений Гаусса: (0;-2;1;0;2;1) (0;2;1;0;2;-1) (0;2;1;0;2;1) (0;2;-1;0;2;-1) Система, у которой количество уравнений совпадает с числом неизвестных (m=n) называется: кубической системой линейных уравнений квадратной системой линейных уравнений сложной системой линейных уравнений Совокупность некоторых элементов, объединенных каким-либо общим признаком называется ……………..
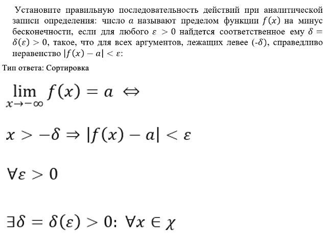
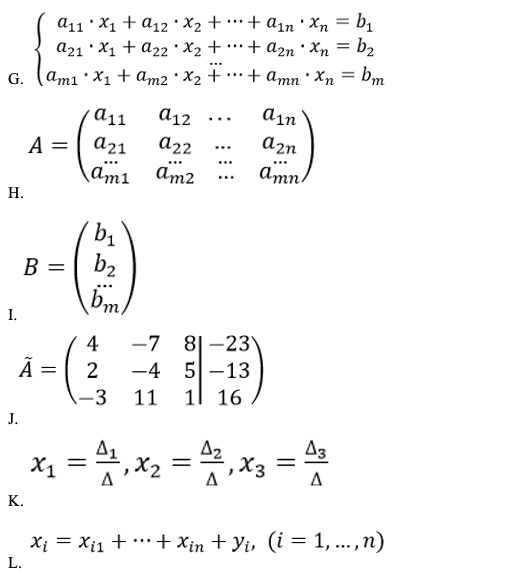
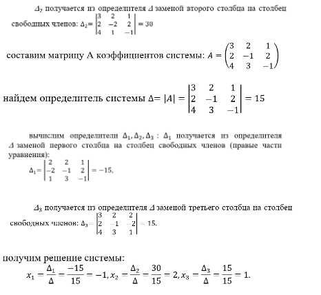
Сопоставьте название математического выражения и его формулу: Тип ответа: Сопоставление Система линейных алгебраических уравнений (СЛАУ) Матрица системы Вектор-столбец свободных членов Расширенная матрица системы Формулы Крамера Уравнение баланса G. H. I. J. K. L. Строки матрицы e1, e2…em, называются……., если существуют такие числа не равные одновременно нулю, что линейная комбинация строк матрицы равна нулевой строке….. =0 Точки, в которых производная равна нулю: f(x) = 0, называются….точками функции Точки, в которых выполняется необходимое условие экстремума для непрерывной функции, называются ……………. точками этой функции. Транспонированной матрицей для матрицы является матрица вида: Уравнение, которое кроме функции, содержит ее производные называется дифференциальное уравнение иррациональное уравнение тригонометрическое уравнение Установите правильную последовательность вычисления обратной матрицы методом присоединенной матрицы: Тип ответа: Сортировка 1 2 3 Установите правильную последовательность действий при аналитической записи определения: число а называют пределом функции f(x) на минус бесконечности, если для любого е 0 найдется ему е 0, такое что для всех аргументов, лежащих левее, справедливо равенство f(x)-a e: Тип ответа: Сортировка 1 2 3 4 Установите правильную последовательность элементов алгоритма вычисления обратной матрицы: Тип ответа: Сортировка 1 вычислить определитель матрицы А 2 3 транспонировать матрицу А* 4 Установите соответствие видов матриц и их характеристик: Тип ответа: Сопоставление Нижняя треугольная матрица Диагональная матрица Верхняя треугольная матрица Транспонированная матрица равны нулю все элементы матрицы, расположенные над главной диагональю на главной диагонали стоят некоторые числа, а остальные элементы – нули равны нулю все элементы матрицы, расположенные под главной диагональю получена из данной матрицы заменой строк столбцами с соответствующим номером Установите соответствие видов матриц и соответствующих примеров: Тип ответа: Сопоставление скалярная квадратная единичная нулевая диагональная матрица-строка прямоугольная H.
I. J. K. L. M. N. Установите соответствие методов решения систем линейных алгебраических уравнений (СЛАУ) и характеристик этих методов: Тип ответа: Сопоставление A.Теорема Кронекера–Капелли B. Метод Гаусса C.Метод Жордана–Гаусса D. Метод Крамера (теорема) E. F. последовательное исключение неизвестных и приведение системы к треугольному виду с помощью элементарных преобразований над строками G. метод полного исключения неизвестных (работа с расширенной матрицей) H. Установите соответствие методов решения систем линейных уравнений и их характеристик: Тип ответа: Сопоставление Метод Гаусса Обратный ход метода Гаусса Правило треугольников поочередное преобразование уравнений системы для последующего избавления от неизвестных переменных вычисление переменных неизвестных от последнего уравнения к первому произведение диагональных составляющих и произведения вершин двух треугольников уменьшаемой матрицы суммируются Установите соответствие понятий и их математических выражений: Тип ответа: Сопоставление A.Присоединенная матрица B.Вырожденная матрица C.Обратная матрица D.Определитель матрицы E.Минор матрицы F.
G. H. I. J. Установите соответствие точек разрыва и их определений: A.Точка разрыва функции B.Точка разрыва первого рода C.Точка разрыва второго рода D.Точка устранимого разрыва E. F. G. H. Установите соответствие функций и соответствующих графиков: Тип ответа: Сопоставление A.Дробно-линейная функция B.Квадратный трехчлен C.Показательная функция D.Логарифмическая функция E. F. G. H. Установить правильную последовательность схемы исследования функции на выпуклость, вогнутость: Тип ответа: Сортировка найти вторую производную функции найти точки, в которых вторая производная равна нулю или не существует исследовать знак производной слева и справа от каждой найденной точки Функция f(x) называется бесконечно малой функцией при x стремящейся к x0, если lim f(x) равен: А 0 ∞ не существует Найти производную функции y=sinx - ln3x..
Список вопросов
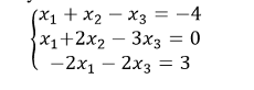
2x1+2x2-X3 = 3
-4x1 + x2 + x3 = 4
4x1 - 3x2 + 2x3 = 5

(2 3 5 2 1 4) . План выпуска продукции задан матрицей-строкой С = (100 80 130) , стоимость единицы каждого типа сырья (ден. ед.) - матрицей столбцом: В =
(30 50). Найти общую стоимость сырья.




Тип ответа: Сопоставление
A. скалярная
B. квадратная
C. единичная
D. нулевая
E. диагональная
F. матрица-строка
G. прямоугольная



Тип ответа: Сопоставление
A. Система линейных алгебраических уравнений (СЛАУ)
B. Матрица системы
C. Вектор-столбец свободных членов
D. Расширенная матрица системы
E. Формулы Крамера
F. Уравнение баланса

Тип ответа: Сопоставление
A.Присоединенная матрица
B.Вырожденная матрица
C.Обратная матрица
D.Определитель матрицы
E.Минор матрицы


Тип ответа: Сортировка

Тип ответа: Сопоставление
A.Дробно-линейная функция
B.Квадратный трехчлен
C.Показательная функция
D.Логарифмическая функция

Тип ответа: Сортировка
Тип ответа: Сопоставление
A. Метод Гаусса
B. Обратный ход метода Гаусса
C. Правило треугольников
D. поочередное преобразование уравнений системы для последующего избавления от неизвестных переменных
E. вычисление переменных неизвестных от последнего уравнения к первому
F. произведение диагональных составляющих и произведения вершин двух треугольников уменьшаемой матрицы суммируются
Тип ответа: Сопоставление
A. Нижняя треугольная матрица
B. Диагональная матрица
C. Верхняя треугольная матрица
D. Транспонированная матрица
E. равны нулю все элементы матрицы, расположенные над главной диагональю
F. на главной диагонали стоят некоторые числа, а остальные элементы – нули
G. равны нулю все элементы матрицы, расположенные под главной диагональю
H. получена из данной матрицы заменой строк столбцами с соответствующим номером






Характеристики ответов (шпаргалок) к экзамену

МФПУ «Синергия»
stud1


















