Для студентов ИДДО НИУ «МЭИ» по предмету Математический анализРядыРяды
5,0052
2023-10-122024-11-05СтудИзба
Контрольная работа по рядам (КМ-3) 3 семестр НИУ "МЭИ" для второкурсников МЭИ🔥
ДЗ КМ-3: Ряды
Описание
Задание 1. Найти сумму ряда.
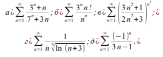
Задание 2. Исследовать ряд на сходимость.
Задание 3. Найти область сходимости ряда.
Показать/скрыть дополнительное описание

Задание 2. Исследовать ряд на сходимость.

Задание 3. Найти область сходимости ряда.

Задание 1. Найти сумму ряда. Задание 2 . Исследовать ряд на сходимость. Задание 3. Найти область сходимости ряда..
Файлы условия, демо
Характеристики домашнего задания
Предмет
Учебное заведение
Семестр
Номер задания
Программы
Теги
Просмотров
72
Качество
Идеальное компьютерное
Размер
43,03 Kb
Список файлов
1680801948-66e72172aab32672c3e823a4a8f0ddfd.docx

Зарабатывай на студизбе! Просто выкладывай то, что так и так делаешь для своей учёбы: ДЗ, шпаргалки, решённые задачи и всё, что тебе пригодилось.
Начать зарабатывать
Начать зарабатывать