Для студентов МГТУ им. Н.Э.Баумана по предмету Математический анализГрафики элементарных функцийГрафики элементарных функций
5,0053
2023-09-192025-04-09СтудИзба
Вариант 1 - ДЗ №1 "Элементарные функции и их графики"
ДЗ 1: Графики элементарных функций вариант 1
-43%
Описание
Типовой расчет по математическому анализу №1 "Элементарные функции и их графики", 5 задач, зачтено
Условие:
Задача 1:
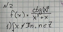
Задача 2:
Задача 3:
Задача 4:
Задача 5:
Показать/скрыть дополнительное описание
Условие:






Домашнее задание по матан МГТУ 1 семестр типовик, пределы, исследование функций, дифференциальное.
Характеристики домашнего задания
Предмет
Учебное заведение
Семестр
Номер задания
Вариант
Просмотров
34
Качество
Фото рукописных листов
Размер
1,5 Mb
Список файлов
Вариант 1 ЭФ 67.pdf

Спасибо за покупку! Я буду очень рад, если поставишь справедливую оценку купленному файлу :3 Ищи больше работ в моём профиле, там много нужного тебе!