Для студентов МГТУ им. Н.Э.Баумана по предмету Математический анализПределы и непрерывность функцийПределы и непрерывность функций
5,00513
2023-03-212025-10-13СтудИзба
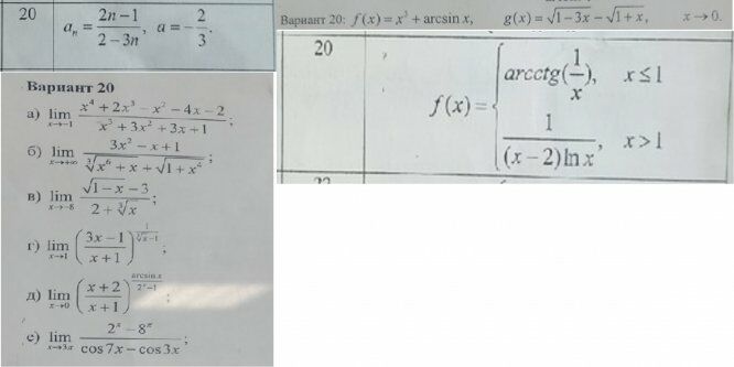
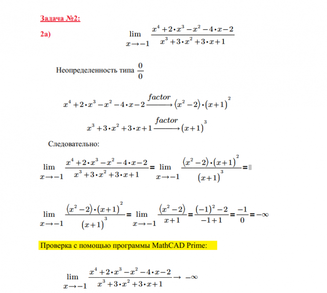
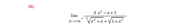
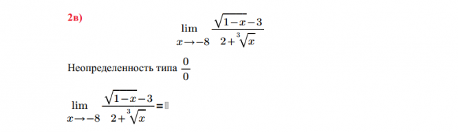
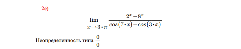
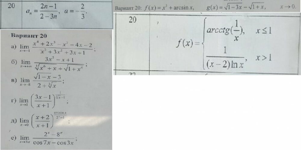
ДЗ 1.2: Пределы и непрерывность функций вариант 20
-62%
Описание
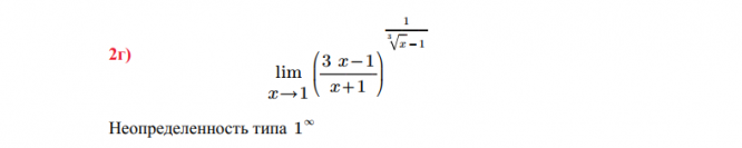
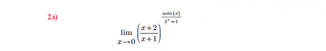
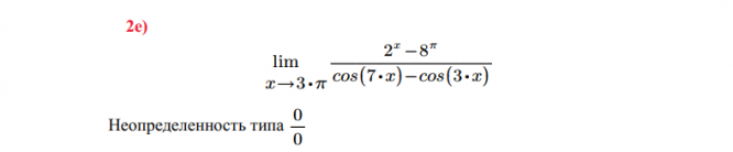
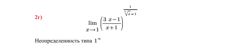
РЕШЕНИЕ ДЗ №2 - ПРЕДЕЛЫ И НЕПРЕРЫВНОСТЬ ФУНКЦИЙ (Фотка на доске в УЛК)
- Пределы вычислены шаг за шагом (Step by step) с подробными объяснениями
- Результаты проверены программой MathCAD Prime
- Решение полного ДЗ (4 задачи)

ДЕМО










ПРЕДЕЛЫ И НЕПРЕРЫВНОСТЬ ФУНКЦИЙ.
Характеристики домашнего задания
Предмет
Учебное заведение
Семестр
Номер задания
Вариант
Программы
Просмотров
104
Качество
Идеальное компьютерное
Размер
4,28 Mb
Список файлов
Вариант 20.pdf

Если работа Вам была полезна, Пожалуйста, потратьте несколько секунд, чтобы оставить нам 5 ЗВЁЗД и положительный отзывы. Мы Вам глубоко признателены!