Для студентов МГТУ им. Н.Э.Баумана по предмету Интегралы и дифференциальные уравнения (ИиДУ)Дифференциальные уравненияДифференциальные уравнения
5,0052
2023-03-082025-02-11СтудИзба
Вариант 11 - ДЗ №2 - "Дифференциальные уравнения" - 6 задач
ДЗ 2: Дифференциальные уравнения вариант 11
-43%
Описание
Типовой расчет №2 по математическому анализу, "Дифференциальные уравнения", зачтено
Условие:
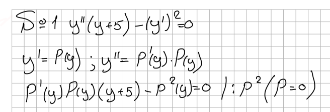
Задача 1:
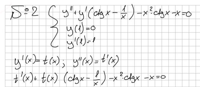
Задача 2:
Задача 3:
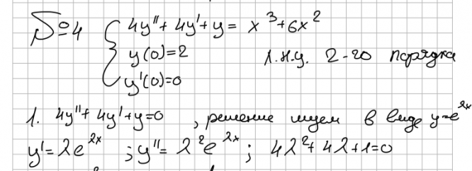
Задача 4:
Задача 5:
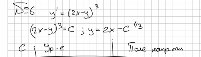
Задача 6:
Показать/скрыть дополнительное описание
Условие:

Задача 1:


Задача 3:

Задача 4:

Задача 5:

Задача 6:

Типовой расчет по интегралам МГТУ математический анализ 2 семестр домашнее задание.
Характеристики домашнего задания
Учебное заведение
Семестр
Номер задания
Вариант
Просмотров
41
Качество
Идеальное компьютерное
Размер
7,05 Mb
Список файлов
Вариант 11 Диффуры 2 32.pdf

Спасибо за покупку! Я буду очень рад, если поставишь справедливую оценку купленному файлу :3 Ищи больше работ в моём профиле, там много нужного тебе!