Для студентов НИУ «МЭИ» по предмету Математический анализПределыПределы
4,78522332
2022-12-082022-12-08СтудИзба
ДЗ 2: Пределы вариант 25
Описание
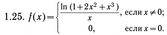
Задача 1. Исходя из определения производной, найти f'(0).

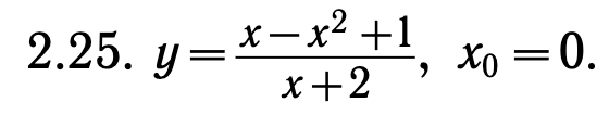
Задача 2. Составить уравнение нормали и уравнение касательной к данной кривой в точке с абсциссой x0.

Задача 3. Вычислить приближенно с помощью дифференциала.

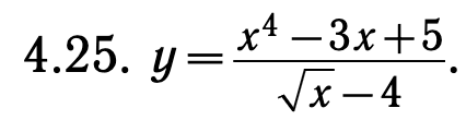
Задача 4. Найти производную.

Задача 5. Найти производную.

Задача 6. Найти производную.

Задача 7. Найти производную.

Задача 8. Найти производную.

Задача 9. Найти производную n-го порядка.

Задача 10. Вычислить предел функции.

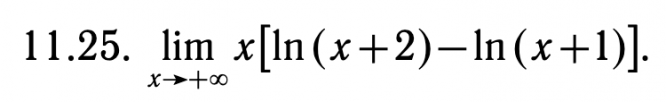
Задача 11. Вычислить предел функции.

Задача 12. Составить уравнение касательной и нормали к кривой, заданной параметрически, в точке, соответствующей значению параметра t0.

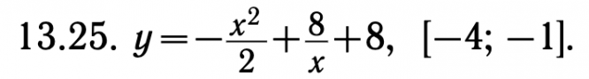
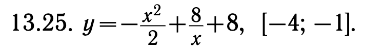
Задача 13. Найти наибольшее и наименьшее значения функции на заданном отрезке.

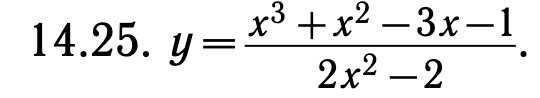
Задача 14. Провести полное исследование функции и построить её график.

Задача 15. Провести полное исследование функции и построить её график.

Характеристики домашнего задания
Предмет
Учебное заведение
Семестр
Номер задания
Вариант
Просмотров
59
Качество
Скан рукописных листов
Размер
8,05 Mb
Список файлов
08.12.22.1.pdf
08.12.22.pdf

Зарабатывай на студизбе! Просто выкладывай то, что так и так делаешь для своей учёбы: ДЗ, шпаргалки, решённые задачи и всё, что тебе пригодилось.
Начать зарабатывать
Начать зарабатывать