Для студентов МГТУ им. Н.Э.Баумана по предмету Математический анализИсследование функций и построение их графиковИсследование функций и построение их графиков
4,97514428
2022-12-042025-04-16СтудИзба
Вариант 8 - ДЗ №3 "Исследование функций"
ДЗ 3: Исследование функций и построение их графиков вариант 8
-43%
Описание
Типовой расчет по математическому анализу №3 "Исследование функций", 3 задачи, зачтено
Условие:
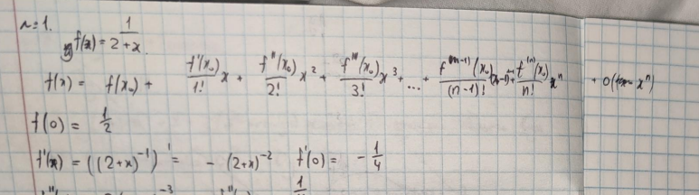
Задача 1:
Задача 2:
Задача 3:
Показать/скрыть дополнительное описание
Условие:


Задача 2:


Домашнее задание по матан МГТУ 1 семестр типовик, пределы, исследование функций, дифференциальное.
Характеристики домашнего задания
Предмет
Учебное заведение
Семестр
Номер задания
Вариант
Просмотров
26
Качество
Фото рукописных листов
Размер
1,21 Mb
Список файлов
Вариант 8 Исслед Функц 44.pdf

Спасибо за покупку! Я буду очень рад, если поставишь справедливую оценку купленному файлу :3 Ищи больше работ в моём профиле, там много нужного тебе!