Для студентов МГТУ им. Н.Э.Баумана по предмету Математический анализЭлементарные функции и их графикиЭлементарные функции и их графики
5,0057
2022-10-072025-04-10СтудИзба
ДЗ 1.1: Элементарные функции и их графики вариант 28
-30%
Описание
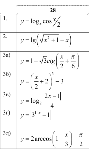
Выполнены следующие задания (на фото) на максимальный балл. Вариант 28. ![]()

Характеристики домашнего задания
Предмет
Учебное заведение
Семестр
Номер задания
Вариант
Просмотров
181
Качество
Фото рукописных листов
Размер
31,98 Mb
Список файлов
IMG_6998.JPG
IMG_6999.JPG
IMG_7001.JPG
IMG_7002.JPG
IMG_7004.JPG
IMG_7005.JPG
IMG_7006.JPG
МГТУ им. Н.Э.Баумана


















