Для студентов МГТУ им. Н.Э.Баумана по предмету Математический анализПределы и непрерывность функцийПределы и непрерывность функций
5,0059
2022-09-272025-10-13СтудИзба
ДЗ 1.2: Пределы и непрерывность функций вариант 7
-62%
Описание
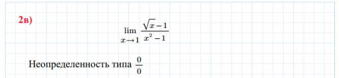
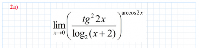
РЕШЕНИЕ ДЗ №2 - ПРЕДЕЛЫ И НЕПРЕРЫВНОСТЬ ФУНКЦИЙ (Фотка на доске в УЛК)
- Пределы вычислены шаг за шагом (Step by step) с подробными объяснениями
- Результаты проверены программой MathCAD Prime
- Решение полного ДЗ (4 задачи)

ДЕМО










Характеристики домашнего задания
Предмет
Учебное заведение
Семестр
Номер задания
Вариант
Программы
Просмотров
115
Качество
Идеальное компьютерное
Размер
10,19 Mb
Список файлов
Вариант 7 OK.pdf

Если работа Вам была полезна, Пожалуйста, потратьте несколько секунд, чтобы оставить нам 5 ЗВЁЗД и положительный отзывы. Мы Вам глубоко признателены!