Для студентов МГТУ им. Н.Э.Баумана по предмету Математический анализПределы и непрерывность функцийПределы и непрерывность функций
5,0055
2021-10-202025-04-12СтудИзба
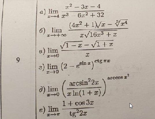
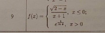
ДЗ 1.2: Пределы и непрерывность функций вариант 9
Описание
В файле выполненное ДЗ-2 по курсу математический анализ для 9 варианта факультетов ФН СМ РК-4. Понятный почерк и хорошие фотографии. Условие ниже
![]()

Характеристики домашнего задания
Предмет
Учебное заведение
Семестр
Номер задания
Вариант
Просмотров
83
Размер
1,02 Mb
Список файлов
1.jpg
2.jpg
3.jpg
Комментарии
Нет комментариев
Стань первым, кто что-нибудь напишет!
МГТУ им. Н.Э.Баумана
Freebie_bauman

















