Для студентов МГТУ им. Н.Э.Баумана по предмету Математический анализПределы и непрерывность функцийПределы и непрерывность функций
4,8753079
2021-10-192025-04-12СтудИзба
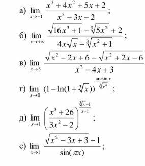
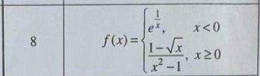
ДЗ 1.2: Пределы и непрерывность функций вариант 8
Описание
В файле зачтенное ДЗ-2 Пределы и непрерывности для 8 варианта факультетов ФН СМ РК-4 . Понятный почерк , нормальные фотографии. Зачтено преподавателем. Условие ниже
![]()




Характеристики домашнего задания
Предмет
Учебное заведение
Семестр
Номер задания
Вариант
Просмотров
17
Размер
6,86 Mb
Список файлов
1.jpg
2.jpg
3.jpg
4.jpg
5.jpg
6.jpg