Для студентов МГТУ им. Н.Э.Баумана по предмету Математический анализЭлементарные функции и их графикиЭлементарные функции и их графики
4,95529958
2018-06-242025-04-10СтудИзба
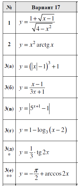
ДЗ 1.1: Элементарные функции и их графики вариант 17
-51%
Описание

Характеристики домашнего задания
Предмет
Учебное заведение
Семестр
Номер задания
Вариант
Теги
Просмотров
841
Качество
Фото рукописных листов
Размер
1,25 Mb
Список файлов
Элементарные функции и их графики.pdf

Вам все понравилось? Получите кэшбэк - 40 рублей на Ваш счёт при покупке. Поставьте оценку и напишите положительный комментарий к купленному файлу. После Вы получите деньги на ваш счет.