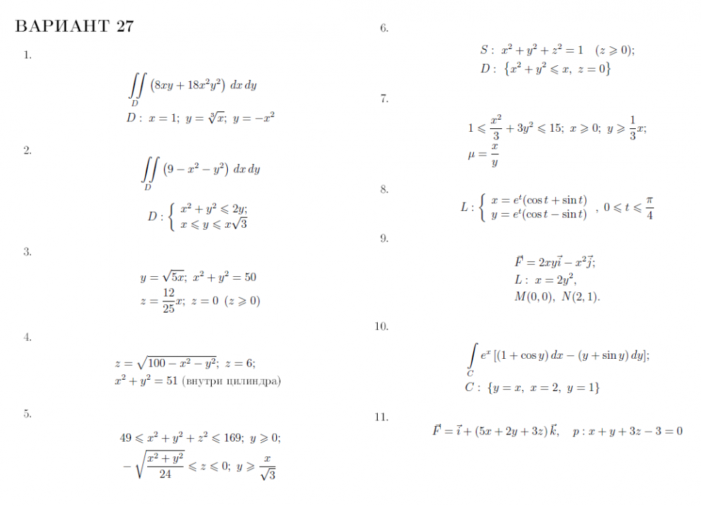
Для студентов НГТУ по предмету Математический анализВариант (27) - ТР - Кратные и криволинейные интегралыВариант (27) - ТР - Кратные и криволинейные интегралы
4,92522872
2021-08-172021-08-17СтудИзба
Курсовая работа: Вариант (27) - ТР - Кратные и криволинейные интегралы вариант 27
Описание
Характеристики курсовой работы
Предмет
Учебное заведение
Семестр
Вариант
Просмотров
2
Качество
Скан рукописных листов
Размер
402,52 Kb
Список файлов
Вариант (27) - ТР - Кратные и криволинейные интегралы
(1).jpg
(2).jpg
(3).jpg
(4).jpg
(5).jpg
(6).jpg
(7).jpg
(8).jpg
(9).jpg
(10).jpg
(11).jpg

Вам все понравилось? Получите кэшбэк - 40 рублей на Ваш счёт при покупке. Поставьте оценку и напишите положительный комментарий к купленному файлу. После Вы получите деньги на ваш счет.