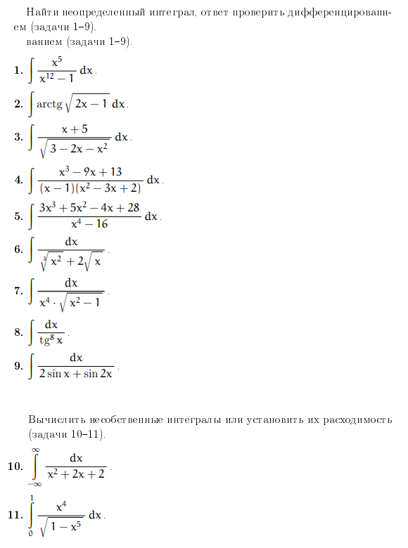
Для студентов НГТУ по предмету Математический анализВариант 22 - ТР №2 - ИнтегралыВариант 22 - ТР №2 - Интегралы
4,92523638
2021-04-012021-04-01СтудИзба
Курсовая работа: Вариант 22 - ТР №2 - Интегралы вариант 22
Описание
Характеристики курсовой работы
Предмет
Учебное заведение
Семестр
Вариант
Просмотров
6
Качество
Идеальное компьютерное
Размер
97,35 Kb
Список файлов
ТР №2 - Интегралы - Вариант №(22).doc

Вам все понравилось? Получите кэшбэк - 40 рублей на Ваш счёт при покупке. Поставьте оценку и напишите положительный комментарий к купленному файлу. После Вы получите деньги на ваш счет.