Для студентов НГТУ по предмету Математический анализВариант 14 - ТР №2 - ИнтегралыВариант 14 - ТР №2 - Интегралы
4,92522603
2021-04-012021-04-01СтудИзба
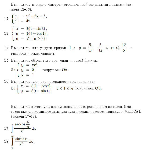
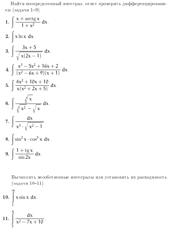
Курсовая работа: Вариант 14 - ТР №2 - Интегралы вариант 14
Описание
Характеристики курсовой работы
Предмет
Учебное заведение
Семестр
Вариант
Просмотров
6
Качество
Идеальное компьютерное
Размер
98,48 Kb
Список файлов
ТР №2 - Интегралы - Вариант №(14).doc

Вам все понравилось? Получите кэшбэк - 40 рублей на Ваш счёт при покупке. Поставьте оценку и напишите положительный комментарий к купленному файлу. После Вы получите деньги на ваш счет.