Для студентов НГТУ по предмету Математический анализВариант 13 - ТР №2 - ИнтегралыВариант 13 - ТР №2 - Интегралы
4,92522660
2021-04-012021-04-01СтудИзба
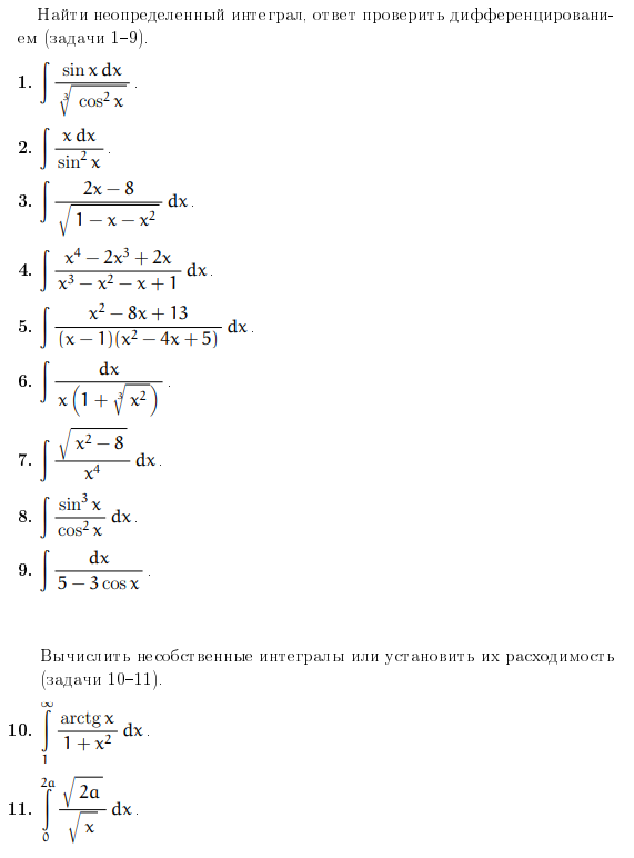
Курсовая работа: Вариант 13 - ТР №2 - Интегралы вариант 13
Описание
Характеристики курсовой работы
Предмет
Учебное заведение
Семестр
Вариант
Просмотров
3
Качество
Идеальное компьютерное
Размер
100,28 Kb
Список файлов
ТР №2 - Интегралы - Вариант №(13).doc

Вам все понравилось? Получите кэшбэк - 40 рублей на Ваш счёт при покупке. Поставьте оценку и напишите положительный комментарий к купленному файлу. После Вы получите деньги на ваш счет.