Для студентов ИДДО НИУ «МЭИ» по предмету Математический анализКурс Математический анализ 2/2 - КМ-9. Кратные интегралы. ТестированиеКурс Математический анализ 2/2 - КМ-9. Кратные интегралы. Тестирование
5,0059
2024-11-262024-11-26СтудИзба
📘 Тест КМ-9 по математическому анализу: Кратные интегралы – для студентов НИУ МЭИ! ✅
Ответы к заданиям КМ-9: Курс Математический анализ 2/2 - КМ-9. Кратные интегралы. Тестирование
Описание
➡️ Другие файлы по этому предмету ⬅️
База ответов к тесту:
Курс Математический анализ 2/2 (ИДДО МА-Б-5/5-2-Экз/Экз)
Подкопаева Виктория Александровна
КМ-9. Кратные интегралы. Тестирование
Кратные интегралы
Показать/скрыть дополнительное описание
База ответов к тесту:
Курс Математический анализ 2/2 (ИДДО МА-Б-5/5-2-Экз/Экз)
Подкопаева Виктория Александровна
КМ-9. Кратные интегралы. Тестирование
Кратные интегралы

сдача теста КМ-9 по математическому анализу, решение задач по кратным интегралам для НИУ МЭИ, готовые ответы на тест по математическому анализу, помощь с тестированием по курсу математический анализ 2/2, контрольное мероприятие 9 по кратным интегралам, выполнение заданий.
Список вопросов
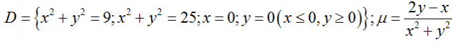
Установить соответствие между интегралом и его значением
![]()



Установите последовательность вычисления двойного интеграла с заданной
подынтегральной функцией и областью интегрирования:
1. вычислить интеграл, записанный первым
2. записать область интегрирования в виде двойных неравенств
3. вычислить интеграл, записанный вторым
4. привести двойной интеграл к повторному, расставив пределы
интегрирования
подынтегральной функцией и областью интегрирования:
1. вычислить интеграл, записанный первым
2. записать область интегрирования в виде двойных неравенств
3. вычислить интеграл, записанный вторым
4. привести двойной интеграл к повторному, расставив пределы
интегрирования
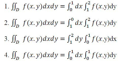
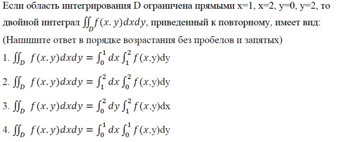
Если область интегрирования D ограничена прямыми х=0, x=1, y=1, у=2, то
ff f (x. y)dxdy, приведенный к повторному, имеет вид:
(Напишите ответ в порядке возрастания без пробелов и запятых)
![]()
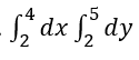
ff f (x. y)dxdy, приведенный к повторному, имеет вид:
(Напишите ответ в порядке возрастания без пробелов и запятых)

Если при вычислении тройного интеграла в декартовой системе координат все пределы интегрирования равны, то область интегрирования ...
Запишите ответ в порядке возрастания без пробелов и запятых
Область интегрирования в двойном интеграле
1. часть плоскости Оху
2. часть плоскости Oxz
3. часть плоскости Oyz
4. отрезок прямой Ох
Область интегрирования в двойном интеграле
1. часть плоскости Оху
2. часть плоскости Oxz
3. часть плоскости Oyz
4. отрезок прямой Ох
Для вычисления объема тела с помощью тройного интеграла подинтегральня функция равна ...
Найти площадь фигуры, ограниченной линиями:
y = 2-x
x = 0
y = 0
y = 2-x
x = 0
y = 0
Найти площадь фигуры, ограниченной линиями:
y = -x-2
x = 0
y = 0
y = -x-2
x = 0
y = 0
Найти площадь фигуры, ограниченной линиями:
y= 4-x
x=0
y=0
y= 4-x
x=0
y=0
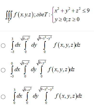
Укажите последовательность вычисления тройного интеграла с заданной подынтегральной функцией и областью интегрирования:
С помощью двойного интеграла нельзя вычислить:
1. площадь плоской фигуры
2. объем цилиндрического тела
3. скорость тела
4. предел функции
5. массу плоской пластины
1. площадь плоской фигуры
2. объем цилиндрического тела
3. скорость тела
4. предел функции
5. массу плоской пластины
Установить соответствие между интегралом и его значением
![]()



Вычислить объём тела, ограниченного данными поверхностями
![]()

С помощью тройного интеграла нельзя вычислить:
1. площадь плоской фигуры
2. объем цилиндрического тела
3. скорость тела
4. предел функции
5. массу тела, если задана функция плотности
1. площадь плоской фигуры
2. объем цилиндрического тела
3. скорость тела
4. предел функции
5. массу тела, если задана функция плотности
Установить соответствие между интегралом и его значением
![]()

Тройной интеграл может быть вычислен
1. в декартовых координатах
2. в полярных координатах
3. в сферических координатах
4. в цилиндрических координатах
1. в декартовых координатах
2. в полярных координатах
3. в сферических координатах
4. в цилиндрических координатах
Установить соответствие между интегралом и его значением
![]()



Установить соответствие между интегралом и его видом
![]()

Укажите последовательность вычисления объема области, ограниченной данными поверхностями:
1. расставить пределы в тройном интеграле от функции, равной 1
2. записать область интегрирования неравенствами
3. записать ответ
4. вычислить тройной интеграл
1. расставить пределы в тройном интеграле от функции, равной 1
2. записать область интегрирования неравенствами
3. записать ответ
4. вычислить тройной интеграл
В кратном интеграле внешние пределы должны быть ...
Расставить пределы интегрирования
![]()

Двойной интеграл может быть вычислен
1. в декартовых координатах
2. в полярных координатах
3. в сферических координатах
4. в цилиндрических координатах
1. в декартовых координатах
2. в полярных координатах
3. в сферических координатах
4. в цилиндрических координатах
Вычислить площадь фигуры, ограниченной кривыми: х=4; у=х; ху=4
С помощью тройного интеграла можно вычислить:
1. площадь плоской фигуры
2. объем цилиндрического тела
3. скорость тела
4. предел функции
5. массу тела, если задана функция плотности
1. площадь плоской фигуры
2. объем цилиндрического тела
3. скорость тела
4. предел функции
5. массу тела, если задана функция плотности
Запишите ответы без пробелов и запятых
С помощью двойного интеграла можно вычислить:
1. площадь плоской фигуры
2. объем цилиндрического тела
3. скорость тела
4. предел функции
5. массу плоской пластины
С помощью двойного интеграла можно вычислить:
1. площадь плоской фигуры
2. объем цилиндрического тела
3. скорость тела
4. предел функции
5. массу плоской пластины
Укажите последовательность вычисления площадь области, ограниченной данными кривыми:
1. расставить пределы в двойном интеграле от функции, равной 1
2. записать ответ
3. изобразить область на координатной плоскости
4. вычислить двойной интеграл
1. расставить пределы в двойном интеграле от функции, равной 1
2. записать ответ
3. изобразить область на координатной плоскости
4. вычислить двойной интеграл
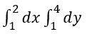
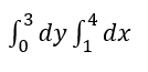
Изменить порядок интегрирования
![]()

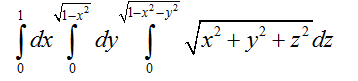
Вычислить интеграл
![]()

Запишите ответы без пробелов и запятых
С помощью тройного интеграла НЕЛЬЗЯ вычислить:
С помощью тройного интеграла НЕЛЬЗЯ вычислить:
Запишите ответы без пробелов и запятых
С помощью тройного интеграла можно вычислить:
С помощью тройного интеграла можно вычислить:
Вычислить массу тела Т, если
![]()

Вычислить двойной интеграл
![]()

Для вычисления площади фигуры с помощью двойного интеграла подинтегральная функция равна ...
Характеристики ответов (шпаргалок) к заданиям
Тип
Коллекция: Ответы (шпаргалки) к заданиям
Предмет
Учебное заведение
Номер задания
Теги
Просмотров
164
Качество
Идеальное компьютерное
Количество вопросов
Преподаватели

Гарантия сдачи без лишних хлопот! ✅🎓 Ответы на тесты по любым дисциплинам, базы вопросов, работы и услуги для Синергии, МЭИ и других вузов – всё уже готово! 🚀 🎯📚 Гарантия качества – или возврат денег! 💰✅