Для студентов МГТУ им. Н.Э.Баумана по предмету Математический анализЭкзамен (Билеты 2023 года)Экзамен (Билеты 2023 года)
4,945100
2024-09-142024-12-15СтудИзба
Ответы к экзамену: Экзамен (Билеты 2023 года)
Описание
Билеты (комплект Б + комплект А), а также решение многих билетов
Пример Билета:
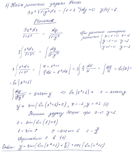
Пример Решения 1 номера (Другого билета)
![]()
Пример Билета:

Пример Решения 1 номера (Другого билета)

Характеристики ответов (шпаргалок) к экзамену
Предмет
Учебное заведение
Семестр
Просмотров
27
Размер
70,32 Mb
Список файлов
IMG_3437.JPG
IMG_3438.JPG
IMG_3439.JPG
IMG_3443.JPG
IMG_3447.JPG
IMG_3448.JPG
IMG_3449.JPG
IMG_3451.JPG
IMG_3454.JPG
IMG_3455.PNG
IMG_3457.JPG
IMG_3458.JPG
IMG_3459.JPG
IMG_3461.JPG
IMG_3462.PNG
IMG_3463.PNG
IMG_3465.PNG
IMG_3467.PNG
IMG_3468.PNG
IMG_3469.PNG
IMG_3470.PNG
IMG_3471.PNG
IMG_3472.PNG
2024-01-18_005.jpg
2024-01-18_001.jpg
2024-01-18_002.jpg
2024-01-18_003.jpg
2024-01-18_004.jpg
2024-01-18_005 (2).jpg
решенные билеты 2024 по 8 билет.pdf
пункт 3 билеты 1-5,7-8,10.pdf
пункт 5 билеты 6-8,12-15,19-21,24.pdf
пункт 6 билет 3-4.pdf
пункт 6 билет 20-21.pdf
пункт 6 билет 22,24.pdf
пункт 6 билеты 15-17,23 (2).pdf
пункт 6 билеты 15-17,23.pdf
пункт 6 билеты 18-19 (2).pdf
пункт 6 билеты 18-19.pdf
решение 5 номеров комплект В.pdf
решение_5_номеров_комплект_А_с_1_по_11_билет.pdf
решение_5_номеров_комплекта_Б_1,2,3,4,5,8,23,26_билеты.pdf

Удачи