Курсовая работа: Формирование оптимального ассортимента торгового предприятия на примере ООО KАRI
Описание
Курсовая работа сдана на 5! Много таблиц и рисунков, анализ
Реферат
Курсовая работа 44 с., 7 табл., 3 рис., 18 источников
АССОРТИМЕНТ, АССОРТИМЕНТНАЯ ПОЛИТИКА, ВНЕШНЯЯ И ВНУТРЕННЯЯ СРЕДА, КАДРЫ, ФОРМИРОВАНИЕ, ШИРОТА, ТОВАРНАЯ ПРОДУКЦИЯ, СТРАТЕГИЯ УПРАВЛЕНИЯ
Объектом исследования является ООО «KАRI».
Предметом исследования является формирование оптимального ассортимента торгового предприятия.
Целью курсовой работы является оценка товарного ассортимента торгового предприятия и разработка направлений по формированию оптимального ассортимента.
В проведенном исследовании использованы ретроспективный, аналитический, сравнительный и другие методы.
В работе рассмотрены теоретические основы исследования формирования ассортиментной продукции предприятия, проведен анализ ассортиментного разнообразия продукции предприятия ООО «KАRI».
Предложены рекомендации по совершенствованию ассортимента на торговом предприятии.
Содержание
Введение. 5
1 Теоретические основы исследования формирования ассортиментной продукции предприятия. 7
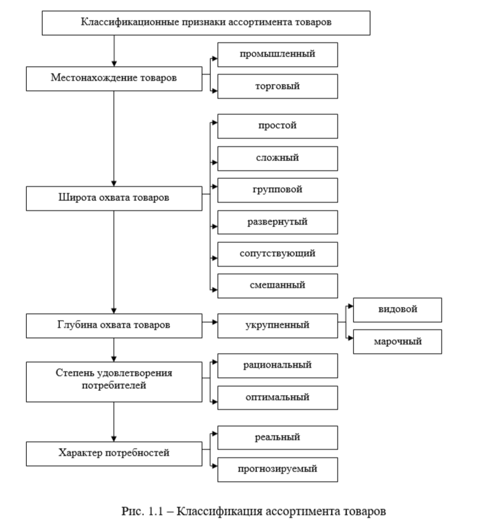
1.1 Ассортимент продукции: понятие, классификация, свойства и показатели. 7
1.2 Сущность ассортиментной политики и ее взаимосвязь со стратегией предприятия 14
1.3 Управление ассортиментом предприятия. 18
2 Анализ ассортимента предприятия ООО «KАRI». 23
2.1 Краткая характеристика предприятия и анализ технико-экономических показателей за 2018-2020 гг. 23
2.2 Анализ товарного ассортимента предприятия. 28
2.3 Анализ отдельных элементов внутренней и внешней среды предприятия. 30
2.4 Характеристика маркетинговой деятельности компании. 33
3 Формирование ассортиментной политики на предприятии ООО «KАRI». 37
3.1 Рекомендации по совершенствованию ассортимента на торговом предприятии 37
3.2 Оценка экономической эффективности от предложенных мероприятий. 39
Заключение. 41
Список использованных источников. 43

Линка-ли























