Для студентов НИ МГУ им. Огарева по предмету Линейная алгебра и аналитическая геометрияЛюбая задача по линалуЛюбая задача по линалу
5,00527
2023-02-152025-04-24СтудИзба
Услуга: Любая задача по линалу в НИ МГУ им. Огарева
Бестселлер
Описание
Задали в НИ МГУ им. Огарева подобную задачу по линейной алгебре и/или аналитической геометрии и по какой-то причине не получается самостоятельное решение? Доверь это профессионалам! Всего в течение 3-х суток у тебя будет полное решение!
Как заказать решение задачи по ЛАиАГ в НИ МГУ им. Огарева по самой низкой цене
- Нужно ли подробное объяснение каждого шага в решении?
- Выбери нужно ли оформление задачи по линалу на заказ в Microsoft Word или PDF в НИ МГУ им. Огарева.
- Нужна только одна решённая задача по аналитической геометрии или несколько?
- Узнай полную стоимость задачи по линейной алгебре мгновенно и оплачивай.
- Пришли условие задачи после оплаты.
В течение трёх суток мы пришлём полное решение задачи для НИ МГУ им. Огарева по аналитической геометрии и линейной алгебре с учётом всех пожеланий. После этого будет 7 дней при обычной гарантии или 30 дней в случае расширенной гарантии на любые доработки по этой задаче по ангему.
Если вдруг по какой-то причине не будет результата - гарантируем полный возврат!
Примеры задач по аналитической геометрии и линейной алгебре, которые мы решаем для студентов НИ МГУ им. Огарева
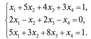
Решить систему алгебраических уравнений (СЛАУ):
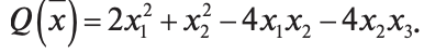
Привести к главным осям квадратичную форму:

Принимаем заказы на решение задач по линейной алгебре и аналитической геометрии для НИ МГУ им. Огарева на следующие темы
Матрицы и определители
- Основные сведения о матрицах
- Действия над матрицами
- Определители - Основные понятия для НИ МГУ им. Огарева
- Свойства определителей
- Обратная матрица
- Матричные уравнения в НИ МГУ им. Огарева
- Ранг матрицы
- Линейная зависимость (независимость) строк и столбцов матрицы
Системы линейных уравнений
- Основные понятия СЛАУ
- Решение невырожденных линейных систем
- Матричный метод решения для НИ МГУ им. Огарева
- Формулы Крамера
- Решение произвольных систем линейных уравнений
- Решение систем линейных уравнений методом Гаусса
- Системы линейных однородных уравнений
- Фундаментальная система решений в НИ МГУ им. Огарева
- Метод Жордана — Гаусса
Линейные пространства и некоторые другие математические структуры
- Определение линейного пространства
- Линейно зависимые и линейно независимые системы векторов для НИ МГУ им. Огарева
- Размеренность линейных пространств
- Базис и координаты
- Изоморфизм линейных пространств
- Подпространства в НИ МГУ им. Огарева
- Аффинные пространства
- Евклидовы и нормированные линейные пространства
- Формулы перехода от одного базиса к другому
Функции в линейных пространствах
- Функции, отображения
- Линейные операторы
- Матрица линейного оператора
- Область значений линейного оператора
- Ранг линейного оператора
- Действия над линейными операторами для НИ МГУ им. Огарева
- Собственные векторы и собственные числа линейного оператора
- Линейные формы
- Билинейные и квадратичные формы
Эксперты услуги
Эксперт | Рейтинг |
---|---|
![]() | 4,99 |
![]() | 4,96 |
![]() | - |
Что дальше?
- Оплатите услугу
- Пришлите задания и дополнительные условия
- В течение 2 суток будет выбран эксперт
- Вы сможете обсудить любые вопросы с исполнителем напрямую
- Получите результат!
Любая задача по линалу в других вузах за 1 семестр


























Характеристики решённой задачи
Учебное заведение
Семестр
Просмотров
864
Качество
Фото рукописных листов
Срок выполнения
3 суток