Для студентов МТУСИ по предмету Линейная алгебра и аналитическая геометрияКонтрольная работаКонтрольная работа
4,53514
2024-07-302024-09-22СтудИзба
Задача 1: Контрольная работа вариант 58
Описание
Контрольная работа вариант 58
Алгебра и геометрия
АиГ
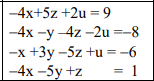
1. Решить систему линейных уравнений методом Гаусса.
2. Даны координаты вершин треугольника АВС. Требуется: 1) вычислить длину стороны ВС; 2) составить уравнение стороны ВС; 3) вычислить длину высоты, проведенной из вершины А; 4) составить уравнение этой высоты.
3. Даны координаты вершин пирамиды А1А2А3А4. Средствами векторной алгебры найти: 1) угол между ребрами А1А2 и А1А4; 2) площадь грани А1А2А3; 3) объем пирамиды А1А2А3А4; 4) уравнение плоскости основания пирамиды А2А3А4; 5) уравнение высоты пирамиды, проведенной из вершины А1.
4. Найти геометрическое место центров окружностей, касающихся оси ординат и проходящих через точку P . Параллельным переносом осей координат привести полученное уравнение к каноническому виду и построить обе системы координат и найденное геометрическое место точек.
![]()
Алгебра и геометрия
АиГ
1. Решить систему линейных уравнений методом Гаусса.




Характеристики решённой задачи
Учебное заведение
Семестр
Номер задания
Вариант
Просмотров
10
Качество
Идеальное компьютерное
Размер
607,66 Kb
Список файлов
АиГ. Кр. В58.pdf