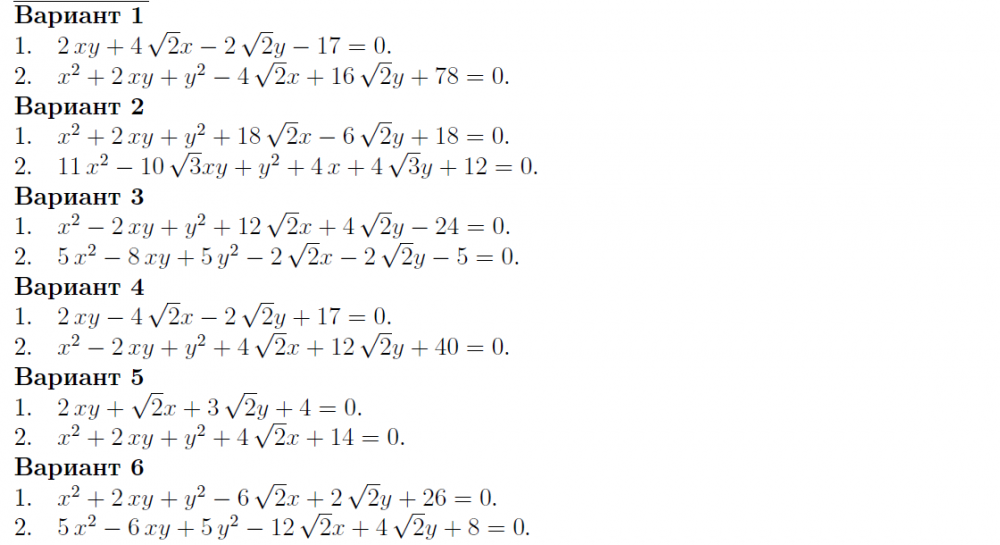
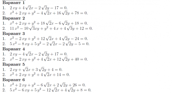
Для студентов СПбПУ Петра Великого по предмету Линейная алгебра и аналитическая геометрияПривести кривую второго порядка к каноническому виду и построить её.Привести кривую второго порядка к каноническому виду и построить её.
5,0051
2023-01-142025-04-01СтудИзба
Услуга: Привести кривую второго порядка к каноническому виду и построить её.
Описание
- Нужно срочно решить задание? - Сделаю в лучшем виде за 5 дней ЛЮБОЙ вариант.
- Данные вариантов приложены ниже в "Файлах условия, демо".
Привести кривую второго порядка к каноническому виду и построить её.

Файлы условия, демо
Эксперты услуги
Эксперт | Рейтинг |
---|---|
![]() | 4,99 |
Что дальше?
- Оплатите услугу
- Пришлите задания и дополнительные условия
- В течение 2 суток будет выбран эксперт
- Вы сможете обсудить любые вопросы с исполнителем напрямую
- Получите результат!
Характеристики решённой задачи
Учебное заведение
Семестр
Номер задания
Просмотров
38
Срок выполнения
5 суток