Для студентов МГТУ им. Н.Э.Баумана по предмету Линейная алгебра и аналитическая геометрияЛинейная алгебраЛинейная алгебра
4,85565
2024-04-022025-05-22СтудИзба
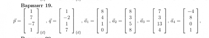
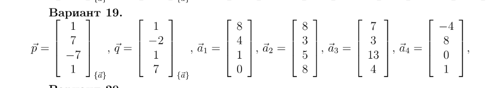
ДЗ 1.1: Линейная алгебра вариант 19
Описание
Файлы условия, демо
Характеристики домашнего задания
Учебное заведение
Семестр
Номер задания
Вариант
Просмотров
37
Размер
1,15 Mb
Преподаватели
Список файлов
дз1вар19.pdf
Комментарии
Нет комментариев
Стань первым, кто что-нибудь напишет!
МГТУ им. Н.Э.Баумана
LIns


















