Для студентов МГТУ им. Н.Э.Баумана по предмету Линейная алгебра и аналитическая геометрияВекторная алгебра и аналитическая геометрияВекторная алгебра и аналитическая геометрия
4,90546970
2023-10-112024-09-03СтудИзба
ДЗ 1: Векторная алгебра и аналитическая геометрия вариант 1
-66%
Описание
Вариант 1 - ДЗ №1 - Векторная алгебра и аналитическая геометрия - ИУ
Зачтено на максимальный балл 💥 💥 💥
Спасибо за покупку 🥰🥰 🥰
Условие:
Пример решения
Задача 1
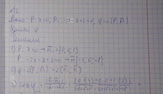
Задача 12

Характеристики домашнего задания
Учебное заведение
Семестр
Номер задания
Вариант
Просмотров
122
Размер
427,9 Kb
Список файлов
Вариант 1 - ДЗ №1 - Векторная алгебра и аналитическая геометрия - ИУ.pdf

Друзья, спасибо за доверие! Если вам понравилась работа – поставьте 5⭐ и напишите отзыв. Это поможет другим студентам, а мне даст силы делать ещё больше качественных материалов для вас 🔥