Для студентов МГТУ им. Н.Э.Баумана по предмету Линейная алгебра и аналитическая геометрияЛинейная алгебраЛинейная алгебра
5,0055
2023-03-122025-05-22СтудИзба
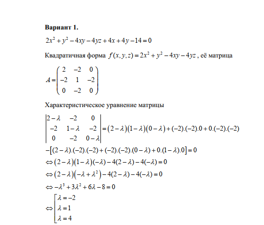
ДЗ 1: Линейная алгебра вариант 1
-66%
Описание
Зачтено на максимальный балл
Всего 4 задачиПри покупке оставьте комментарий и Вы можете получить подарок!! 🎁 🎁 🎁









Характеристики домашнего задания
Учебное заведение
Семестр
Номер задания
Вариант
Программы
Просмотров
94
Качество
Идеальное компьютерное
Размер
345,84 Kb
Список файлов
Вариант 1-дз1-лина.pdf

Ваше удовлетворение является нашим приоритетом, если вы удовлетворены нами, пожалуйста, оставьте нам 5 ЗВЕЗД и позитивных комментариев. Спасибо большое!. Смотрите файлы в моем профиле, там есть много полезных !